- 易迪拓培训,专注于微波、射频、天线设计工程师的培养
数字电源遥测有助于降低能耗,并延长系统运行时间
尽管电源管理对新式电子系统的可靠运行至关重要,但是在今天的系统中,也许仍然存在着最后一个“盲点”,那就是电压稳压器,现在还没有办法直接配置或监视关键电源系统工作参数。数字可编程DC/DC转换器已经存在多年了,最显著的用途是用在具备电压识别 (VID) 输出电压控制功能的电压稳压器模块 (VRM) 内核电源中。但是直接从电压稳压器监视工作状态信息 (尤其是监视实时电流) 的能力一直缺乏。
数字电源系统管理的主要好处是降低了设计成本以及使产品更快上市。采用具备直观图形用户界面 (GUI) 的全面开发环境,可以高效率地开发复杂的多轨系统。通过GUI而不是焊接“白色导线”定位点,这类系统还简化了在线测试 (ICT) 和电路板调试。另一个好处是,由于有实时遥测数据可用,所以可以预测电源系统故障,并采取预防性措施。也许最重要的是,具备数字管理功能的DC/DC转换器使设计师能够开发在负载点、电路板、机架级甚至安装阶段均能以最低能耗满足目标性能 (计算速度、数据传送速率等) 的“绿色”电源系统,从而降低了基础设施成本和产品寿命期内的总体拥有成本。
需要准确、无损耗的电流测量
DC/DC转换器设计领域的进步使得难以极大地提高效率,而且下一代电源系统将通过系统级动态负载均衡降低功耗。控制负载点转换器的算法需要准确度很高的功耗数据,以微调模型,并优化功率分配。这正是与准确度很高的模拟电路相结合的实时遥测的显著优势。要以高精确度测量功耗,就需要用一个已知的电阻性组件测量输出电流。尽管已校准的外部并联电路是准确的,但是它会引入额外的功率损耗,并使转换器更加昂贵。一种无损耗选择是,跨电感器寄生DC电阻(DCR)测量平均压降,这可以减少组件数量,并简化电路板布局。与SenseFET等其他无损耗测量方法相比,DCR电流测量方法更加经济实惠,也更简单易用。DCR方法的一个显著缺点是,电感器电阻受温度影响很大以及难以测量准确的电感器磁芯温度。如果没有恰当的温度补偿,仅为1℃的电感器温度变化就对应约为 0.39%的电流测量误差。使情况变得更糟的是,在大负载电流时,可能有几十度的电感器自热。下面介绍的算法 (正在申请专利) 可以补偿所有这些问题,而且校准后,可在整个温度和负载电流范围内实现好于±0.25%的准确度。
[p]
DCR温度补偿
在靠近电感器的地方放置温度传感器可提供一阶温度补偿。如果温度传感器远离其他显著的热源 (例如功率FET),那么温度补偿的准确度就可以提高。在大负载情况下,由于电感器的散热,在电感器和温度传感器之间产生了瞬态和稳态热量梯度,所检测到的温度并不准确地代表电感器的磁芯温度。这种温度梯度在图1中清晰可见,该图显示了向输出负载提供1.8V电压、1.5A电流的集成式 DC/DC转换器LTC3601的热像。

图1:DC/DC转换器的热像显示了电感器实际温度与监测点温度之间的差别
此外,瞬时加热/冷却效应也必须考虑,以当负载电流变化快于电感器热传递时间常数时减小所引入的瞬态误差。这两个问题均可以通过引入两个额外的参数来解决:从电感器磁芯到板上温度传感器的热阻θis;电感器的热量时间常数t。热阻 用来在给定电感器功耗Pi的情况下,计算所测得的温度Ts与电感器内部温度之间的稳态温度差Ti。

附加的温度上升用来更准确地估计电感器的DC电阻Ri :

在以上等式中,Vdcr是电感器的DC压降,Iout是输出电流的均方根(RMS)值,R0是电感器在参考温度Tref上的DC电阻,α是该电阻的温度系数。因为大多数电感器都是用铜制成的,所以我们可以预期,温度系数接近αcu=3900ppm/℃。在给定的α值时,其余参数θis和R0在温度不变时可以仅用两个负载电流校准。

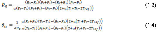
针对每一个负载电流记录下电感器电阻Rk=Vdcr,k/ 、功耗Pk和所测得的温度Tk(k=1,2)。为了在计算θis时提高准确度,两个负载电流应该选择为I1=10%和I2=90%的系统电流范围。 电感器的热量时间常数t用来模拟电感器的一阶热量响应,并可在负载瞬态时用来准确地补偿DCR。从小负载电流向大负载电流转变时,电感器电阻由于自热而增大。如果我们运用从小电流I1到大电流I2的单个负载阶跃,那么电感器两端的电压将在瞬间从I1R1 转变到I2R1,然后缓慢接近I2R2。这里R1是在给定温度和负载电流I1时的稳态电阻,而由于电感器自热,R2在I2时略高于DC电阻。请注意,电气时间常数tθl=L/R比热量时间常数小几个量级,而“瞬间”是相对于热量时间常数而言的。两个稳定区给出了数据集 (I1、T1、R1、P1) 和 (I2、T2、R2、P2),两点校准方法 (1.3-1.4) 用来抽取稳态参数θis和R0(考虑之前得出的“平均”α )。运用稳态表达式 (1.2) 算出的相对电流误差将在负载阶跃后立即达到峰值,然后依照电感器热量时间常数t衰减到零。 时间常数t用最佳拟合曲线y=ln(△I/I)=α1+α2t的斜率计算: 总之,校准DCR电流测量值的全部所需仅为单个负载电流阶跃。响应的稳定部分给出了热阻θis和标称DC电阻R0,稳定特性用来测量电感器时间常数t。一旦得出特定系统的自热参数θis和t,那么就仅剩电感器DC电阻R0需要校准,以补偿电感器容限。 [p]
用LTC2974实现高精确度数字遥测 凌力尔特新推出的LTC2974是一款4通道系统监察器,包含一个16位数据采集系统,具备同类最佳的 ±0.25%总未调误差。该器件针对所有4个被监视的DC/DC通道提供输出电压、电流及温度的数字回读,采用业界标准的PMBus接口。电流测量采用上述DCR温度补偿算法,与之前的解决方案相比 ,实现了较高量级的准确度 (图2)。LTC2974整合了遥测与精确快速的硬件监察、微调DAC和一套全面的排序及跟踪选项,提供了很大的系统灵活性。LTC2974高度可靠的片上EEPROM使该器件无需开发软件,就实现了彻底的自主运行。LTC2974 包括通过中断标记与“黑盒子”记录器实现的故障记录功能,该记录器存储发生故障之前瞬间转换器的工作状态参数。凌力尔特的LTpowerPlay开发软件及其GUI 界面为多轨系统的开发提供了方便。 结论 准确测量负载点实时功耗使人们能够设计出以最低能耗满足设计目标的智能系统。精确、无损耗的电流测量是优化大型系统功耗的关键,且使人们能够开发出准确的模型。能在系统“健康”状况诊断中使用实时功耗遥测是至关重要的,可用来防止可能的灾难性电源系统故障。 作者:Kalin Lazarov 凌力尔特公司混合信号产品应用工程师 


图2:用于DC/DC转换器的LTC2974在整个温度及输出电流范围内的总测量误差
射频工程师养成培训教程套装,助您快速成为一名优秀射频工程师...
天线设计工程师培训课程套装,资深专家授课,让天线设计不再难...
上一篇:提供更智能更纤薄电源的途径
下一篇:汽车照明应中的LED及电机驱动方案应用举例

