- 易迪拓培训,专注于微波、射频、天线设计工程师的培养
一种实现计时器变为倒计时器的设计方案
一般计时器变为倒计时器的设计思路是改变计时器中的计数芯片,或是重新设置芯片的功能等,其实还可以采用将显示器显示的结果“倒”过来显示,从而达到倒计时的目的。
1 方案设计的思路
计时器每位显示的结果是递增的数值,如0.1.2.3.4.5.6.7.8.9,而倒计时器所显示的是递减的数值,如9.8.7.6.5.4.3.2.1.0,那只要用合适的逻辑电路完成这个显示结果转换,就可以将计时器变为倒计时器。
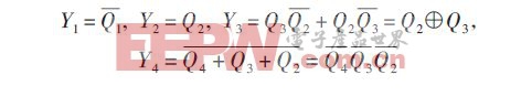
首先找计时器显示结果和倒计时器的显示结果的逻辑关系,表1是列出了计时器和倒计时器每位显示结果对应的BCD 码,从该表可容易发现计时器和倒计时器的BCD 码中最低位Q1 与Y1 是相反的;Q2 与Y2 是相同的;Q3 与Y3 的关系:倒计时器的Y3 是计时器Q3、和Q2 的异或;Q4 与Y4 的关系:倒计时器的Y4 位是计时器的Q4、Q3、和Q2的或的相反值,也等于Q4、Q3、Q2的非再与。

上述的逻辑表达式是:

上述逻辑关系的逻辑图如图1所示。

因此只要选择能够完成上述逻辑转换关系的电路就可以实现由计时器变为倒计时器的设计,如图2所示是显示两位数的计时器电路,加入上述转换电路后的就成为了如图3所示的倒计时电路。

2 设计方案的实现2.1 用两片74LS00和74LS20芯片
前者是四个二输入与非门,一片用于完成Y1 的转换和生成Q4、Q3、Q2 的非,后者是两个四输入与非门,用于将Q4、Q3、Q2的非再与获得Y4,另外一片74LS00有四个与非门,可以根据如下的逻辑关系:

其逻辑图如图4所示。

得知可以完成异或门的运算,即可以完成Y3 的转换。上述Y4,Y3,Y1转换具体实物的连接电路图如图5所示。

如图6所示是倒计时器实物图。

2.2 用74LS27和74LS86芯片
前者是两个四输入或非门,用于完成Y4 和Y1 的转换,后者是四个二输入异或门,用于Y3的转换。
3 结论
本文所介绍的一种实现计时器变为倒计时器的设计方案,该方案通过巧妙的设计方法实现了所有计时器变为倒计时器。该设计方法不需要改变原来计数器电路,只是在原电路的基础上在每位译码器前嵌入设计的电路就可以完成计数器变为倒计数器。倒计时器广泛应用于篮球比赛、交通亭等领域,从而证实了本方案具有很好的普遍性和实用性。
射频工程师养成培训教程套装,助您快速成为一名优秀射频工程师...
天线设计工程师培训课程套装,资深专家授课,让天线设计不再难...
上一篇:长寿命电动车电池极板工艺研究
下一篇:锂离子电池的常态和保护电路原理详解

