- 易迪拓培训,专注于微波、射频、天线设计工程师的培养
三电平逆变器SVPWM控制策略及实验研究
摘要:在两电平的常规空间矢量PWM算法的基础上,给出了三电平空间矢量PWM算法,并提出一种改进的三电平空间矢量PWM调制策略来进行二极管钳位型三电平逆变器的控制,从而实现最小开关损耗。基于TMS320F240DSP实现了三电平逆变系统的数字控制,实验结果论证了该方案的可行性。
关键词:二极管钳位型三电平逆变器;空间矢量脉宽调制;最小开关损耗;数字控制
SVPWM Control Strategy and Experiment Research on Three-level Inverters
ZHANG Jie, ZOU Yun-ping, ZHANG Xian, DING Kai
Abstract:A novel space vector PWM (SVPWM) modulation strategy used in three- level NPC inverter to reduce switching loss is provided.Through coordinating transformation, it can easily obtain the control of the space voltage vector. The whole system has been implemented digitally by using TMS320F240 DSP, and the modulation strategy and control scheme is demonstrated by the experimental waveforms and corresponding spectrums.
Keywords:Diode-clamped three-level inverter; Space vector PWM (SVPWM); Least switching loss; Digital control
1 引言
近几年来,在高压大功率应用领域,一种新型的逆变器——多电平逆变器受到越来越广泛的关注。多电平逆变器的思想最早是由Nabae于20世纪80年代初提出的。其基本原理是通过多个直流电平来合成逼近正弦输出的阶梯波电压。本文所讨论的二极管钳位型多电平逆变器是通过串联的电容将直流侧的高电压分成一系列较低的直流电压,并通过二极管的钳位作用使开关器件承受的反向电压限制在每个电容的电压上,从而在不提高器件电压等级的前提下相对提高逆变器输出电压。
2 拓扑结构
虽然多电平拓扑结构种类较多,但是大致可分为:二极管钳位型,飞跃电容型和独立直流电源级联多电平这三种拓扑结构。这三种多电平拓扑结构各有优缺点,其中应用最广泛的是二极管钳位型多电平拓扑结构。本文的研究对象主要是二极管钳位型三电平逆变器。在图1所示的二极管钳位型三电平逆变器中,相对逆变器直流侧中点的参考电位0,逆变器的输出电压除了两电平逆变器输出电压+UD/2和-UD/2,还增加了第三个电平值0。图1中采用了12个可关断功率器件和6个钳位二极管,在直流侧接有2个等电容量的电容分别是C1,C2,每个电容分担的电压为UD/2,并且通过钳位二极管的钳位作用,使每个开关器件上承受的电压限制在一个电容电压(UD/2)上,从而大大减小了开关器件的电压应力。

图1 二极管钳位型三电平逆变器
与三相两电平逆变器相同,三相三电平逆变器也可以用开关变量Sa、Sb、Sc分别表示各桥臂的开关状态,不同的是这时A、B、C桥臂分别有三种开关状态,从而Sa、Sb、Sc为三态开关变量,如表1所列。
表1 三电平(NPC)逆变器A相开关状态
| Uao | Sa1 | Sa2 | Sa3 | Sa4 | Sa |
|---|---|---|---|---|---|
| +UD/2 | 1 | 1 | 0 | 0 | 2 |
| 0 | 0 | 1 | 1 | 0 | 1 |
| -UD/2 | 0 | 0 | 1 | 1 | 0 |
因此,A相输出端A对电源中点0的电压uAO可以用A相开关变量Sa结合输入直流电压UD来表示
uAO=
·UD (1)
输出线电压可表示为
uAB=uAO-uBO=
UD·(Sa-Sb) (2)
整理即为
=
UD·
·
(3)
与三相两电平逆变器相同,三相三电平逆变器可以定义逆变器的开关状态为(SaSbSc),则三电平逆变器有27个开关状态,分别对应着19个特定的空间电压矢量,如图2所示,并将整个矢量空间分成24个扇区。由图2可以看出,19种空间电压矢量可分为长矢量,中矢量,短矢量和零矢量,分别对应着1个,2个和3个不同的冗余开关状态,如表2所列。
表2 开关状态及相应电压矢量
| 开关状态 | Sa | Sb | Sc | 电压矢量 |
|---|---|---|---|---|
| S1 | 0 | 0 | 0 | V0 |
| S2 | 1 | 1 | 1 | V0 |
| S3 | 2 | 2 | 2 | V0 |
| S4 | 1 | 0 | 0 | V1 |
| S5 | 1 | 1 | 0 | V2 |
| S6 | 0 | 1 | 0 | V3 |
| S7 | 0 | 1 | 1 | V4 |
| S8 | 0 | 0 | 1 | V5 |
| S9 | 1 | 0 | 1 | V6 |
| S10 | 2 | 1 | 1 | V1 |
| S11 | 2 | 2 | 1 | V2 |
| S12 | 1 | 2 | 1 | V3 |
| S13 | 1 | 2 | 2 | V4 |
| S14 | 1 | 1 | 2 | V5 |
| S15 | 2 | 1 | 2 | V6 |
| S16 | 2 | 1 | 0 | V7 |
| S17 | 1 | 2 | 0 | V8 |
| S18 | 0 | 2 | 1 | V9 |
| S19 | 0 | 1 | 2 | V10 |
| S20 | 1 | 0 | 2 | V11 |
| S21 | 2 | 0 | 1 | V12 |
| S22 | 2 | 0 | 0 | V13 |
| S23 | 2 | 2 | 0 | V14 |
| S24 | 0 | 2 | 0 | V15 |
| S25 | 0 | 2 | 2 | V16 |
| S26 | 0 | 0 | 2 | V17 |
| S27 | 2 | 0 | 2 | V18 |

图2 三电平空间电压矢量图
3 空间矢量调制
与两电平逆变器相似,三电平空间矢量PWM调制也是通过对调制空间矢量的位置进行判断,选择进行合成的开关矢量,并计算其相应的开通时间。
我们定义三相三电平逆变器的电压空间矢量调制比如下
m=
(1)
式中:
是在空间以角速度ω=2πf旋转的电压矢量V*的模长;
UD是电压矢量V13的模长。
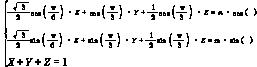
从图2中可以看出,三电平逆变器整个矢量空间的24个扇区可分成6个大的区间,则每一个区间包含4个小的扇区。旋转电压矢量V*是由所在扇区的三个电压矢量Vx,Vy,Vz合成的。它们的作用时间分别为Tx,Ty,Tz,且Tx+Ty+Tz=Ts。Ts为开关周期。现定义
X=
,Y=
,Z=
(2)
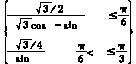
现在以第一个区间(0<θ<60°)为例,计算旋转电压矢量V*处在扇区D1,D7,D13,D14时Vx,Vy,Vz所对应的X,Y,Z值。定义m的边界条件分别为Mark1,Mark2,Mark3,如式(3),(4),(5)所示。
Mark1=
(3) [p]
Mark2=
(4)
Mark3=
(5)
1)当调制比m<Mark1,即旋转矢量V*处于扇区D1时,V*是由V0、V1和V2三个电压矢量合成的,如图3所示。根据矢量合成原理,可以列出如下方程
(6)
解式(6)得
(7)

图3 旋转矢量在D1扇区的矢量图
2)当调制比Mark1<m<Mark2,即旋转矢量V*处于扇区D7时,V*是由V1、V2和V7三个电压矢量合成的,可列出如下方程 (8)
解式(8)得
(9)
3)当调制比Mark2<m<Mark3,且0<θ<30°,即旋转矢量V*处于扇区D13时,V*是由V1、V13和V7三个电压矢量合成的,可列出如下方程
(10)
解式(10)得
(11)
4)当调制比Mmark2<m<Mark3,且30°<θ<60°,即旋转矢量V*处于扇区D14时,V*是由V2、V7和V14三个电压矢量合成的,可列出如下方程
(12)
解式(12)得
(13)
这样,在计算其它五个区间的Tx,Ty,Tz时,只要将式(7)、(9)、(11)和(13)中的θ值分别用θ-60°,θ-120°,θ-180°,θ-240°,θ-300°来替代即可实现对整个矢量空间的计算。
4 最小开关损耗调制算法
在三电平逆变器中,由于冗余开关状态的存在,使得一个电压矢量对应于两个或三个开关状态,因此必须使用一定的算法来减少开关动作次数,从而减少开关损耗。减少开关损耗算法的基本原则是每次开关状态的变化只引起一相电压的变化并且只有两个互补开关管的触发信号发生变化,从而减少了开关损耗并降低了开关频率。例如,在图2中,空间矢量从D14扇区旋转到D15扇区,A、B、C三相开关管的状态就可以按照(221→220→210→110→110→210→220→221)→(221→220→120→110→110→120→220→221)的顺序来变化。当空间矢量V*旋转到D14扇区时,这时的空间矢量是由V2(用开关状态221或110表示)、V7(用开关状态210表示)和V14(用开关状态220表示)三个矢量共同合成的,第一个括号内开关状态的调制顺序就是空间矢量在D14扇区的调制顺序。当空间矢量V*旋转到D15扇区时,这时的空间矢量是由V2(用开关状态221或110表示)、V14(用开关状态220表示)和V8(用开关状态120表示)三个矢量共同合成的,第二个括号内开关状态的调制顺序就是空间矢量在D15扇区的调制顺序。其中,开关状态221和110代表同一个矢量V2,以它作为开关状态的起始状态和末尾状态进行过渡。因此,无论是在扇区的内部还是在两个扇区之间,开关状态的每一次变化都只有桥臂互补驱动信号的两个管子开关状态发生了变化,从而减少了开关损耗。
5 实验研究
本实验主电路拓扑如图1所示,二极管钳位型三电平逆变器的主开关器件选用2SK1941,其最大承受电压可达600V,最大通态电流16A。钳位二极管选择IXY SDESI30,它所能承受的最大通态电流为12A。逆变PWM开关频率为5kHz,输出正弦波基波频率为278Hz。本数字控制系统是基于TMS320F240 DSP芯片,12路驱动信号分别由TMS320F240经控制电路产生,全比较单元的六路PWM输出分别驱动ABC三相的S1和S3管,单比较单元的三路PWM信号及其反相信号经死区电路后分别驱动逆变器的S2和S4管。本控制是通过dq变换,把正弦交流检测量转变为dq直流反馈量,再分别进行PI调节,然后通过SVPWM模块对三电平逆变器进行控制。图4为三相三电平逆变器的控制系统结构图。

图4 三电平控制系统结构图
图5(a)和图5(b)分别是二极管钳位型三电平逆变器输出相电压VAN、VBN、VCN和输出线电压VBC、VAC的实验波形,我们能够很明显地看出三电平的形状,三电平要比两电平更逼近正弦,因此可以在开关频率不是很高并且不增加开关管的耐压值的情况下,获得较低的谐波畸变率。

(a) 相电压VAN、VBN、VCN波形

(b) 线电压VBC、VAC波形 [p]
图5 输出相电压和线电压波形(滤波前)
图6是闭环空载时逆变器输出A相线电压波形及频谱分析,总谐波畸变率1.53%。图7是闭环负载时逆变器输出线电压和线电流波形及频谱分析,线电压总谐波畸变率2.75%,系统输出功率1.8kW。

(a) A相线电压波形

(b) A相线电压频谱分析
图6 空载实验波形及频谱分析

(a) A相线电压和线电流(1A/100mV)波形

(b) A相线电压频谱分析
图7 阻性负载时实验波形及频谱分析
从图6和图7的波形中我们可以看出,闭环正负波形不对称,并且带载时的谐波畸变率要比空载时的高。这主要是由于闭环带载运行时,由于负载电流的增加,从中点流过的电流加大,逆变器不停地对直流侧的两个电容充放电,导致两个电容上的电压不平衡。实验中对中点电流并没有进行特别的控制,从而导致直流侧两个电容上的电压不平衡,致使输出电压正负波形的不对称。
6 结语
二极管钳位型三电平逆变器通过自身拓扑结构的改进,使得输出电平数增加,输出波形更加逼近正弦,因而输出波形具有更好的谐波频谱。由于开关器件所承受的电压应力减小,因此非常适合高压大功率的应用场合。在将来的研究中应该注意以下两个方面:
1)应用于两电平的控制策略完全可以在二极管钳位型三相三电平逆变器中实现,因此现有的一些波形控制技术(如重复控制技术)也可以尝试在三电平逆变器中实现。
2)在二极管钳位型三电平逆变器中,直流侧的两个电容电压不平衡是导致输出波形质量变差的原因之一。这个问题可以通过电压反馈补偿或通过滞环控制中点电位来解决。
射频工程师养成培训教程套装,助您快速成为一名优秀射频工程师...

