- 易迪拓培训,专注于微波、射频、天线设计工程师的培养
增益可调的高性能低噪声放大器的设计与实现
录入:edatop.com 点击:
低噪声放大器(Low-noise Amplifier,简称LNA)是处于接收机最前端的关键部件,广泛应用于移动通信、雷达、电子对抗及遥控遥测系统。它的主要作用是放大天线从空中接收到的微弱信号,降低噪声干扰,提高接收信号灵敏度,以供系统解调出所需的信息数据,其噪声、线性和匹配等性能好坏直接影响到整个接收系统的性能,本文着重对实现增益可调和提高电路的线性度和稳定性、降低噪声系数及改善电路的输入/ 输出匹配特性的方法进行了分析研究。
目前,低噪声放大器的设计普遍采用CAD 的方法进行仿真,相对而言,先进设计系统(ADS)功能强大,简明直观,应用范围较广,本文使用ADS软件,通过线性或非线性的操作模式对放大器电路进行模拟仿真。
接收机前端结构
在设计接收机时,应充分考虑它的容错性,一旦某器件出现故障,系统仍能正常工作,一般用冗余设计的方法来保证其高可靠性。
如图1 所示,当LNA 出现故障时,旁路开关的切换可以使输入信号不经过LNA 而直接输出,保证系统仍然能正常运行。本设计采用PIN 开关二极管HSMP-4890 实现旁路控制,在LNA 断电的情况下,信号旁路,且通过控制模块告警。再则,L N A 采用平衡结构,这样,能保证输入和输出50 Ω阻抗匹配,并且比单级放大结构的截取点高3 dB,这种冗余结构也增强了系统工作的可靠性,一旦一路坏掉以后,LNA 仍能工作,只不过增益大概减小6 dB。控制模块控制旁路开关通断,给LNA 提供电源,并且通过控制输出端衰减达到调节增益的目的。

LNA 设计的技术指标:工作频率825 MHz — 835 MHz;噪声系数<1.8 dB;增益2 dB—12 dB,步进1 dB;旁通时插入损耗≤ 2.5 dB;输出三阶交调截取点OIP3>20 dBm;输出1 dB 压缩点P>10 dBm;回波损耗≥ 18 dB;最大工作电流≤ 120 mA。
关键器件选择
ATF-54143 是一款高增益、宽动态范围、低噪声的E-PHEMT(增强模式伪形态高电子迁移率晶体管),只需要一个
正的电压偏置,器件体积小,电路集成度高,特别适用于450 MHz — 6 GHz 频段的通信系统。而且根据器件性能,在漏电流IDS为60 mA时能得到最高的三阶截取点(IP3)和最低噪声系数(NF),在漏电压VDS为3 V 时,有较高的增益。同时选择Xinger 1D1304-3,它是一款3dB,90度混合耦合器,具有在800 MHz — 1200 MHz 频带内插入损耗小,高隔离度等优点,特别适用于平衡结构的LNA设计。
考虑增益可调这部分,采用5 bit 数控衰减器HMC273(0.7 GHz — 3.7 GHz,1dB —31 dB 衰减范围),只要控制低4 bit的输入高低电平就能达到0 dB— 15 dB 衰减范围,满足了增益步进要求。
LNA 电路的设计
通常,在设计LNA 时主要考虑低噪声系数(NF),足够的增益和绝对稳定性,但在实际应用中,高截取点、供电电压和低电流损耗也需要考虑。
直流偏置电路的设计
首先,以ATF-54143 的栅极电压VDS 作为扫描参数对元件的静态工作点(漏极电流IDS 和漏极电压VDS)进行仿真。图2 和图3 分别为仿真图和电路原理图。再根据选定的VDS(3 V),IDS(60 mA),VGS(0.56 V), 用公式(1)(2)(3)计算各偏置电阻值。


式中,IBB=2 mA 是设定流经R1 和R2 电阻分压网络的电流,Vdd=5 V 是供电电压,经计算得出各偏置电阻值:R1=280 Ω,R2=1220 Ω,网R3=33 Ω。
稳定电路的设计
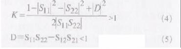
电路不稳定主要由3 个原因产生:晶体管内部的反馈回路,由外部电路产生的在晶体管外部的反馈支路,以及通带外的多余的增益。绝对稳定意味着对于任何源端和负载端的阻抗,电路都不会出现不稳定的情况,通常可以由Rollett稳定因子来表示。绝对稳定的条件是:

改进方法之一是可以在晶体管的源端对地加上一小段微带线,相当于电感性元件的负反馈,可以改善输入回波损耗和低频稳定度,提高线性度;同时在放大电路的输出端可以加上π型阻性衰减器,对改善稳定性也很有效。
仿真证明,在源端作上述设计后K 值将在带内大于1 。但要注意,在放大管源极添加传输线来稳定的方法是以牺牲放大器其他性能为代价的,同时过长的传输线增加了电路自激的可能性。为了寻求平衡,在实际设计PCB 时,将源端微带线预留足够的长度,调试时可根据实际情况调整其接地的长度,再将多余的带线切断除去。
匹配网络的设计
输入匹配网络一般为获得最小噪声而设计,为接近最佳噪声匹配网络而不是最佳功率匹配网络,而输出匹配网络一般是为获得最大功率和最低驻波比而设计。由于本设计对LNA 增益的要求不是太高,所以设计匹配网络时首先考虑噪声系数。输入匹配网络由元件的最佳噪声反射系数Topt为主来决定,以求得噪声系数NF 降到最小,根据S 参量仿真得到的最佳噪声系数匹配条件,利用ADS 提供的Smith 圆图工具可以很方便地进行输入输出匹配网络的设计。
可得出输入高通网络L1 为12 nH,C1 为5.6 pF,输出高通匹配网络L4为15 nH ,C4为3 pF 。
ADS 仿真
线性仿真
线性分析时可以用Touchstone 格式的两端口S参量对晶体管进行建模,用基于4端口的Touchstone线性S 参数文件对混合耦合器建模,在此引用ATF-54143 的S2p 文件和1D1304-3 的S4p 文件。为了得到更切合实际的结果,传输线部分也采用ADS 库中的微带线模型。在对平衡结构LNA 的Sparams_wNoise仿真时,主要是调节微带线的长度,以得到最佳匹配结果,本次板材采用介电常数为2.55 的聚四氟乙烯,介质厚0.8 mm,微带线高18 μm,微带线宽度用ADS 的LineCalc 工具计算,经过反复试验得出结果如图4 所示。

非线性仿真
谐波平衡(HB)仿真可用于得出1 dB 压缩点P 和输出三阶截取点(OIP3)等非线性参数,两者仿真设置的主要区别在于信号源的不同,前者信号源是P_1Tone,后者是P_nTone 提供调谐频率信号,相应H B 仿真的设置也有不同。
仿真得到的P-1 dB为16.5 dBm,OIP3为32.2 dBm,结果比较理想,见图5 所示。

PCB 制板
用DC-DC 转换芯片将外部输入电压转换为5 V,给晶体管提供偏置电压。数控衰减器HMC273 放置在放大耦合输出的近端,也需要5 V 电源供电,5管脚16 dB 衰减控制口直接置高电平,1 — 4 管脚连接外部输入口;远端放置π型阻性电路,可用于调节增益和增加电路稳定性。旁路与放大电路在输出端用PIN 开关二极管HSMP-4890 连接,起隔离的作用,保证旁路插入损耗小。旁路和耦合器输入端带线均为1/4 波长,以保证相位匹配,使回波损耗最小。
绘制P C B 电路板时还须注意以下几个方面:
(1)根据信号频率,板材参数计算微带线宽度,为了弥补实际和仿真的差别,一般不将阻抗值严格地设为50 Ω计算,而是偏高1 Ω— 2 Ω,调试中通过改变接地电容的量值和位置就可以得到较宽的电路参数调整范围。
(2)预留出可调的电容位置,关键是放大器输入输出端。
(3)为了避免干扰,射频微带线之间以及普通信号线(控制HMC273 )均避免邻接,中间必须用地隔开。
(4)在射频信号经过的带线范围内,底层电源线也尽量避免经过,可选择耦合器中部穿过,以免改变阻抗,影响性能。
结束语
本文设计的平衡结构LNA 和利用开关二极管控制旁路提高了工作可靠性,并且用简单灵活的方法实现了增益可调。测试结果表明,实际测得的LNA 技术指标能够与仿真结果较好地吻合,E -pHEMT 管的低噪声系数和高OIP3 使它在高动态范围电路设计上具有很大的优势。
目前,低噪声放大器的设计普遍采用CAD 的方法进行仿真,相对而言,先进设计系统(ADS)功能强大,简明直观,应用范围较广,本文使用ADS软件,通过线性或非线性的操作模式对放大器电路进行模拟仿真。
接收机前端结构
在设计接收机时,应充分考虑它的容错性,一旦某器件出现故障,系统仍能正常工作,一般用冗余设计的方法来保证其高可靠性。
如图1 所示,当LNA 出现故障时,旁路开关的切换可以使输入信号不经过LNA 而直接输出,保证系统仍然能正常运行。本设计采用PIN 开关二极管HSMP-4890 实现旁路控制,在LNA 断电的情况下,信号旁路,且通过控制模块告警。再则,L N A 采用平衡结构,这样,能保证输入和输出50 Ω阻抗匹配,并且比单级放大结构的截取点高3 dB,这种冗余结构也增强了系统工作的可靠性,一旦一路坏掉以后,LNA 仍能工作,只不过增益大概减小6 dB。控制模块控制旁路开关通断,给LNA 提供电源,并且通过控制输出端衰减达到调节增益的目的。

LNA 设计的技术指标:工作频率825 MHz — 835 MHz;噪声系数<1.8 dB;增益2 dB—12 dB,步进1 dB;旁通时插入损耗≤ 2.5 dB;输出三阶交调截取点OIP3>20 dBm;输出1 dB 压缩点P>10 dBm;回波损耗≥ 18 dB;最大工作电流≤ 120 mA。
关键器件选择
ATF-54143 是一款高增益、宽动态范围、低噪声的E-PHEMT(增强模式伪形态高电子迁移率晶体管),只需要一个
正的电压偏置,器件体积小,电路集成度高,特别适用于450 MHz — 6 GHz 频段的通信系统。而且根据器件性能,在漏电流IDS为60 mA时能得到最高的三阶截取点(IP3)和最低噪声系数(NF),在漏电压VDS为3 V 时,有较高的增益。同时选择Xinger 1D1304-3,它是一款3dB,90度混合耦合器,具有在800 MHz — 1200 MHz 频带内插入损耗小,高隔离度等优点,特别适用于平衡结构的LNA设计。
考虑增益可调这部分,采用5 bit 数控衰减器HMC273(0.7 GHz — 3.7 GHz,1dB —31 dB 衰减范围),只要控制低4 bit的输入高低电平就能达到0 dB— 15 dB 衰减范围,满足了增益步进要求。
LNA 电路的设计
通常,在设计LNA 时主要考虑低噪声系数(NF),足够的增益和绝对稳定性,但在实际应用中,高截取点、供电电压和低电流损耗也需要考虑。
直流偏置电路的设计
首先,以ATF-54143 的栅极电压VDS 作为扫描参数对元件的静态工作点(漏极电流IDS 和漏极电压VDS)进行仿真。图2 和图3 分别为仿真图和电路原理图。再根据选定的VDS(3 V),IDS(60 mA),VGS(0.56 V), 用公式(1)(2)(3)计算各偏置电阻值。


式中,IBB=2 mA 是设定流经R1 和R2 电阻分压网络的电流,Vdd=5 V 是供电电压,经计算得出各偏置电阻值:R1=280 Ω,R2=1220 Ω,网R3=33 Ω。
稳定电路的设计
电路不稳定主要由3 个原因产生:晶体管内部的反馈回路,由外部电路产生的在晶体管外部的反馈支路,以及通带外的多余的增益。绝对稳定意味着对于任何源端和负载端的阻抗,电路都不会出现不稳定的情况,通常可以由Rollett稳定因子来表示。绝对稳定的条件是:

改进方法之一是可以在晶体管的源端对地加上一小段微带线,相当于电感性元件的负反馈,可以改善输入回波损耗和低频稳定度,提高线性度;同时在放大电路的输出端可以加上π型阻性衰减器,对改善稳定性也很有效。
仿真证明,在源端作上述设计后K 值将在带内大于1 。但要注意,在放大管源极添加传输线来稳定的方法是以牺牲放大器其他性能为代价的,同时过长的传输线增加了电路自激的可能性。为了寻求平衡,在实际设计PCB 时,将源端微带线预留足够的长度,调试时可根据实际情况调整其接地的长度,再将多余的带线切断除去。
匹配网络的设计
输入匹配网络一般为获得最小噪声而设计,为接近最佳噪声匹配网络而不是最佳功率匹配网络,而输出匹配网络一般是为获得最大功率和最低驻波比而设计。由于本设计对LNA 增益的要求不是太高,所以设计匹配网络时首先考虑噪声系数。输入匹配网络由元件的最佳噪声反射系数Topt为主来决定,以求得噪声系数NF 降到最小,根据S 参量仿真得到的最佳噪声系数匹配条件,利用ADS 提供的Smith 圆图工具可以很方便地进行输入输出匹配网络的设计。
可得出输入高通网络L1 为12 nH,C1 为5.6 pF,输出高通匹配网络L4为15 nH ,C4为3 pF 。
ADS 仿真
线性仿真
线性分析时可以用Touchstone 格式的两端口S参量对晶体管进行建模,用基于4端口的Touchstone线性S 参数文件对混合耦合器建模,在此引用ATF-54143 的S2p 文件和1D1304-3 的S4p 文件。为了得到更切合实际的结果,传输线部分也采用ADS 库中的微带线模型。在对平衡结构LNA 的Sparams_wNoise仿真时,主要是调节微带线的长度,以得到最佳匹配结果,本次板材采用介电常数为2.55 的聚四氟乙烯,介质厚0.8 mm,微带线高18 μm,微带线宽度用ADS 的LineCalc 工具计算,经过反复试验得出结果如图4 所示。

非线性仿真
谐波平衡(HB)仿真可用于得出1 dB 压缩点P 和输出三阶截取点(OIP3)等非线性参数,两者仿真设置的主要区别在于信号源的不同,前者信号源是P_1Tone,后者是P_nTone 提供调谐频率信号,相应H B 仿真的设置也有不同。
仿真得到的P-1 dB为16.5 dBm,OIP3为32.2 dBm,结果比较理想,见图5 所示。

PCB 制板
用DC-DC 转换芯片将外部输入电压转换为5 V,给晶体管提供偏置电压。数控衰减器HMC273 放置在放大耦合输出的近端,也需要5 V 电源供电,5管脚16 dB 衰减控制口直接置高电平,1 — 4 管脚连接外部输入口;远端放置π型阻性电路,可用于调节增益和增加电路稳定性。旁路与放大电路在输出端用PIN 开关二极管HSMP-4890 连接,起隔离的作用,保证旁路插入损耗小。旁路和耦合器输入端带线均为1/4 波长,以保证相位匹配,使回波损耗最小。
绘制P C B 电路板时还须注意以下几个方面:
(1)根据信号频率,板材参数计算微带线宽度,为了弥补实际和仿真的差别,一般不将阻抗值严格地设为50 Ω计算,而是偏高1 Ω— 2 Ω,调试中通过改变接地电容的量值和位置就可以得到较宽的电路参数调整范围。
(2)预留出可调的电容位置,关键是放大器输入输出端。
(3)为了避免干扰,射频微带线之间以及普通信号线(控制HMC273 )均避免邻接,中间必须用地隔开。
(4)在射频信号经过的带线范围内,底层电源线也尽量避免经过,可选择耦合器中部穿过,以免改变阻抗,影响性能。
结束语
本文设计的平衡结构LNA 和利用开关二极管控制旁路提高了工作可靠性,并且用简单灵活的方法实现了增益可调。测试结果表明,实际测得的LNA 技术指标能够与仿真结果较好地吻合,E -pHEMT 管的低噪声系数和高OIP3 使它在高动态范围电路设计上具有很大的优势。

