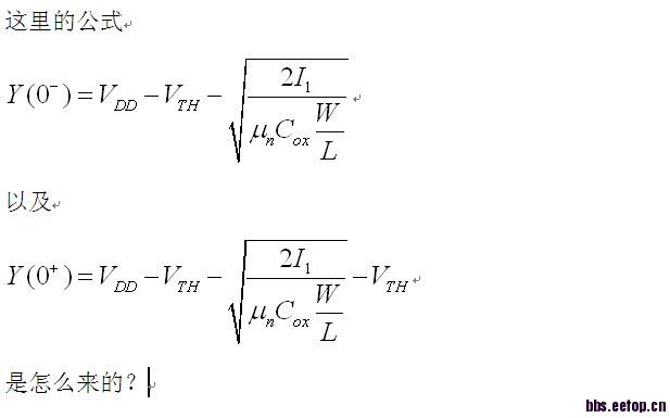
拉扎维那本书上的题
录入:edatop.com 阅读:
就是不知道那个式子具体是怎么来的,应该是从saturation region下漏电流的表达式的来的。




第一个公式,在加脉冲电压之前,肯定是X点初始电压为VDD,根据MOS管饱和区电流电压方程可以列出 ,
第二个公式同样的道理,只不过Vg发生了变化,加脉冲后,vin=-Vth,由于Ic1=Ic2,所以等效为两个电容直接串联,MOS管栅极没有电流通路,所以电量保持恒定,根据Q=CV,可以求出Vg=VDD-Vth,根据电流电压方程同理可以列出二式。
根号的那个公式应该是Vgs的表达式,你可以看看翻译版本中的第二章的内容
申明:网友回复良莠不齐,仅供参考。如需专业解答,请学习本站推出的微波射频专业培训课程。
上一篇:请教如何求一个单端运放的系统失调电压?
下一篇:模拟IC这行职业发展求教

