拉扎维《模拟CMOS》频率补偿求助,课后习题10.5
录入:edatop.com 阅读:

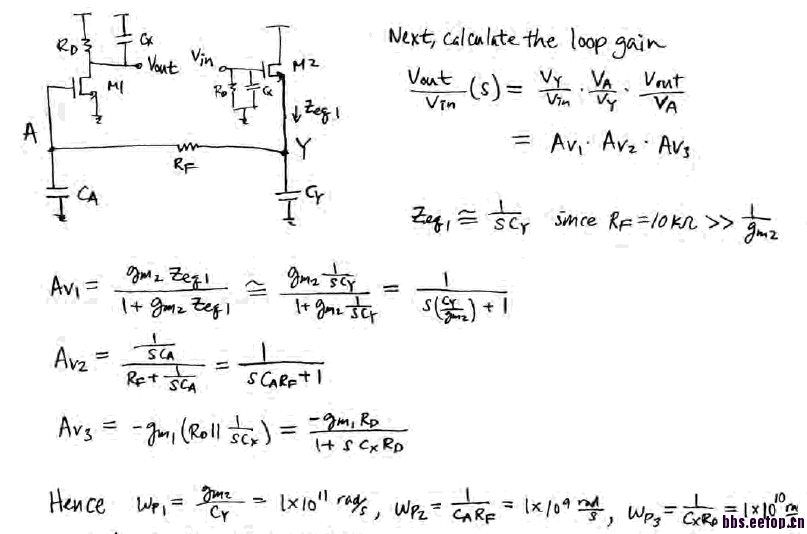
问题一:为什么极点不是用闭环增益的表达式求,而是环路增益?
问题一:为什么极点不是s=-10^9,-10^10,-10^11,s不是等于jw吗?那极点频率不是j10^9,j10^10,j10^11吗?
问题二:为什么Rf远远大于1/gm2,Zeq就等于1/sCY?

Q1: 应该是负的。Razavi省略写法。
拜托各位大神了!
下班闲来看了一下,呵呵
1. Loop gain才涉及到电路的稳定性啊。
Closed Loop gain~1/(1+LG),巴克豪森判据,当LG=-1时,电路振荡。
2. 复数的写法只是通常为了方便写的,最后要求实部幅度和虚部相位。当然你也可以用正弦或余弦慢慢去算。前面就有argue,用的是简约的频率。
3. Y点到地的电阻是1/gm和RF+。并联,RF》1/gm时,可以被忽略。大电阻和小电阻并联,大电阻很大时,可以忽略。
申明:网友回复良莠不齐,仅供参考。如需专业解答,请学习本站推出的微波射频专业培训课程。

