sigma delta 的量化噪声频谱是20(m-1)dB/dec吗
录入:edatop.com 阅读:
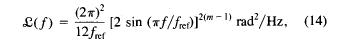
sigma delta 的量化噪声频谱是20(m-1)dB/dec吗,m是调制器阶数。有如下公式。

但是,感觉不对呀,如果是1阶,应该是20dB/dec , 以此类推。
如果是m-1,岂不是一阶起不了噪声整形作用了?

但是,感觉不对呀,如果是1阶,应该是20dB/dec , 以此类推。
如果是m-1,岂不是一阶起不了噪声整形作用了?
或者说,要考虑小数分频pll里面sigma delta 贡献的噪声是算出它的频率噪声Sf(f)还是相位噪声SΦ(f)?
有没有高手给解答一下呢?
who know it ?!
申明:网友回复良莠不齐,仅供参考。如需专业解答,请学习本站推出的微波射频专业培训课程。

