- 易迪拓培训,专注于微波、射频、天线设计工程师的培养
基于镜频抑制混频器的直接解调型短波单边带接收机
一、前言
随着通讯设备的小型化,集成化与数字化,传统的多次变频式接收机,由于电路复杂,中频通路难以集成,存在镜频干扰、组合干扰,需要在射频前端添加镜频抑制滤波器,提高了设备成本,难以做到小型化。
而使用零中频接收机,存在本振泄露,动态范围偏小等问题。
两者的折中是低中频接收机,部分解决了上述两种设计的不足。由于中频很低,所以镜像频率的抑制不能在射频前端完成,一种方案是采用镜频抑制混频器。本文讨论了一种基于RC网络分相滤波器的镜频抑制混频器,并分析了其参数的偏差对于镜频抑制比的影响。然后,使用这种镜频抑制混频器设计制作了一个直接解调型短波单边带接收机。
二、镜频抑制滤波器
在信号的变频过程中,镜象干扰是影响电路性能的一个很主要的问题,而要实现镜象抑制,就要求较高频率的中频,使用多次变频,同时对镜频抑制滤波器的要求较高,这样就对电路的集成实现带来了很大的困难。
一种可行的方法,即利用低中频和镜频抑制混频器的方法,在将信号降到低中频的同时,去除镜像干扰信号。其实现框图如下:

图1
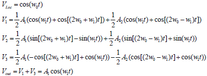
其中,Vlo是本振信号,Vin是射频输入信号,Vout是去除了镜像干扰信号的低频有用信号。+90表示移相90度。数学推导如下:(射频输入信号为用单频信号w0+w1,对应的镜像信号频率为w0-w1)
Vin=A1cos[(w0+w1)t]+ A2cos[(w0-w1)t]
(w0为本振频率,w1为信号的频率,前一项是有用信号,后一项是镜像干扰信号)

从中我们可以看到,如果我们可以保证移相90度的准确性,以及相乘和移相后的输出信号V2和V3的幅度是一样的话,那么镜像干扰信号就可以被完全的去掉了。
幅度的不平衡和相移误差对于镜频抑制比的影响:
经过矢量分析,得到结果如下图所示:横轴为幅度的差异,纵轴为相位差。等高线表示的是镜频抑制比(IRR)。可以看出要使IRR达到-40dB,相位误差应小于正负0.3度,幅度差异小于5%。绘图的Matlab程序见附录1。

图2
实际上,实现宽带的90度移相。可以使用多级全通网络级联逼近的方法[1],其缺点是对于元件的参数极为敏感,为了保证1度的相移误差需要1%的元件精度。

图3
另外一种实现是使用RC网络分相滤波器[2]。

图4 一阶和三阶RC多相滤波网络
对如图3 所示的一阶RC 多相滤波器。当信号的相位从上往下依次增加90°时(有用信号序列),信号能顺利通过,而当信号相位从上往下依次递减90°时(镜像信号序列),则在频率点ω= 1/ RC 处,信号被很好的抑制,如图4所示。

图5 一阶RC滤波网络传输特性
如果多级级联,合理选择各级固有频率,则可以在很宽的范围内保证对镜像信号的抑制。
如设计一个300Hz~3000Hz的RC滤波网络,则可以去6阶的网络,各级的固有频率一次为:301Hz ,402Hz ,603Hz,1326Hz,2368Hz ,2822Hz(固定R=12K,每级电容为0.044u,0.033u,0.022u,0.01u,6800p,4700p)就可以取得较好的效果。

图6

图7
直接讨论元件误差对于镜频抑制比,不是很方便。但是可以通过将RC多相滤波器反接,构成90度的分相器,就可以利用上面的结果来分析了。
该网络即使元件的误差达到5%,仍能保证相移误差小于0.5度,对元件的误差的灵敏度很低。
三、直接解调型短波单边带接收机的设计与装调
本接收机为40米业余波段的接收机,频率7.050MHz~7.056MHz,下边带(LSB)模式。
1、本振电路
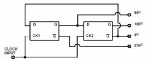
1.1、0/90/180/270四相信号的产生。
使用两个D触发器。电路见图8。

图8
波形如下:

图9
1.2、VXO晶体振荡器的设计
使用频率为28.224MHz的基音晶体,使用两个反相器级联构成的串联晶体振荡器。晶体上串联了L1,降低串联谐振频率,加宽频率变化范围,CX用以调节振荡频率。
2、混频器
使用一片74HC4066四模拟开关作为四路混频器。由于4个模拟开关集成在一个芯片上,有利于提高一致性,获得较好的镜频抑制。R3,R4为4066提供偏压。
使用模拟开关,动态范围大,约为
Vcc,线性良好,缺点是没有变频增益,同时4066用来混频,是一种变通应用,所以噪声系数无法保证,但是,本接收机工作在短波频段,环境中的工业噪声很大,所以对于接收机的噪声系数不要求很高。

图10
3、RC网络分相滤波器

图11
原理上文已述。
4、音频处理单元
进行音频的滤波等处理,进行放大,滤去5KHz以上的频率分量。

图12
5、电路的调试:
制作电路如下图,体积很小,下面的子板就是RC多相滤波网络。
使用利用声卡自制的音频网络测试电路对RC多相滤波网络进行测试:
300Hz~3KHz,相移误差小于0.3度,幅频差异最大最小点之差为4%。由图2可以确定IRR优于-40dB。
实测结果,由于制作屏蔽不良,模拟开关各路差异等原因,IRR大约为-28dB(0.035)。
测试方法:置接收机本振频率为7.053MHz,使用一台短波发射机分别输出7.052MHz和7.054MHz,测量两者之比值。确定IRR。
尽管没有使用高频放大器,但是配合一架半波水平天线,还是可以正常接收到一些业余电台信号的。较远的有上海,江苏等地的业余电台,这些电台的功率大约只有50瓦特。准确的灵敏度由于没有仪器没能测量。

图13
四、结论
本文讨论了低中频接收机镜频抑制滤波器的设计,参数误差对于IRR的影响。由于条件所限,不能真正制作中频为数MHz上的低中频镜频抑制滤波器。于是利用300Hz~3KHz工作的RC网络分相滤波器制作了一个直接解调短波单边带接收机,验证了设计。
作者:孙忆南,倪彧章
参考资料:
[1] the Handbook of Amateur Radio, ARRL, 1994
[2] RC 多相滤波器对镜像抑制性能影响分析,强铨一等,电路与系统学报,vol 10.1, 2005
如何成为一名优秀的射频工程师,敬请关注: 射频工程师养成培训
上一篇:射频微带滤波器基础理论
下一篇:CDMA射频前端低噪声放大器电路设计研究

