- 易迪拓培训,专注于微波、射频、天线设计工程师的培养
TD-SCDMA手机射频前端设计
TD-SCDMA技术特点
第三代移动通信标准主要有三个:TD-SCDMA、WCDMA FDD、CDMA2000。TD-SCDMA标准最初由中国邮电科学研究院提出,后与欧洲提出的低速率WCDMA TDD模式融合,最终成为三大标准之一。TD-SCDMA与另外两个标准相比有四大技术特点:双向智能天线技术、反向链路同步技术、反向联合检测技术、动态信道分配技术,其中双向智能天线技得益于它收发同频。除四大技术特点外,TD-SCDMA还有两大特点:终端费用低、运营成本低。终端费用低得益于TDD工作模式;运营成本低得益于收发同频,不需要成对频点。TD-SCDMA标准得到中国政府的大力支持,据悉将来知识产权费也会低于另外两个标准。所有这些技术的与非技术的特点将决定着TD-SCDMA会有一个辉煌的明天。
现在TD-SCDMA标准已得到很多通讯公司的支持,他们正投入巨额人力、物力去开发相关设备。MAXIM公司今年3月份已开发出商用TD-SCDMA射频套片,为TD-SCDMA的商用化进程立下赫赫战功。下面我们就先简单介绍一下这套TD-SCDMA射频芯片,然后重点讨论设计TD-SCDMA射频前端所应考虑的一些关键技术问题。
美信TD-SCDMA手机射频套片
MAXIM TD-SCDMA手机射频套片共有两颗:MAX2507和MAX2392,这两颗芯片均是采用了最新SiGe BiCMOS 工艺制成。MAX2507是发射芯片,集成了自模拟I/Q至功放输出的所有电路,主要功能模块有:I/Q正交调制器、混频器、可变增益放大器、功率放大器、射频本振VCO、射频锁相环、中频本振产生电路、射频功率检波器,封装为7mm×7mm LGA形式。MAX2392是零中频接收芯片,集成了自低噪声放大器至模拟I/Q输出的所有电路,主要功能模块有:低噪声放大器、I/Q正交解调器、可变增益放大器、信道选择滤波器、DC-Offset 自动去除电路、I/Q 幅度自动校准电路、VCO、锁相环,封装为5mm×5mm QFN形式。为方便用户设计,MAXIM还提供有完整的参考设计方案,该参考设计的有效射频PCB面积为6.6平方厘米,工作在3~3.6V,可直接由单节锂电池供电。图1是该参考设计的功能框图。

图1:TD-SCDMA手机射频单元功能框图。
3GPP针对TD-SCDMA终端规定了很多技术指标,这些指标根据其制定的目的可以分作三大类:一是为满足系统自身的需要而设定的指标,如发射机输出功率等级、功率控制精度、最小可控发射功率、发射信号调制精度EVM、接收机灵敏度、最大可接收信号幅度、频率稳准度等;二是为反映系统鲁棒性而设定的指标,如接收机杂散响应指标、抗单音双音干扰指标、接收机邻道选择性指标ACS等;三是为防止该系统对系统自身或其它系统造成干扰而设定的指标,如收发信机杂散辐射指标、发射机邻道功率泄漏ACLR、发射信号频域模板、发射机互调指标等。对于这些指标的详细论述,请参考3GPP相关标准,这儿限于篇幅关系,仅就一些具有挑战性的指标加以讨论,并以MAXIM参考设计为例加以说明。
ACLR指标
ACLR指标是为防止发信机对邻近频点信道造成干扰而设定的指标,它也是衡量发射机非线性失真程度的一个重要指标。TD-SCDMA信号属于非恒包络调制,它的成型滤波器是根升余弦滤波器,滚降系数为0.22,因此当通道存在非线性幅度压缩时,在TD-SCDMA信号频谱两侧会产生新的频谱成份,ACLR指标是指落入邻近信道的信号与主信道信号功率之比。TD-SCDMA标准规定相邻信道ACLR指标应不大于-33dBc,隔一信道该指标应不大于-43dBc,但当泄漏到邻近信道的信号功率小于-55dBm时,可不考虑ACLR指标。MAXIM参考设计在最大发射功率时,邻信道与隔一信道ACLR指标都有较大余量。
MAX2507还有一个特点就是它在小信号发射时,ACLR指标并不是变得非常好,看来是一个缺点,实际上这恰恰是MAXIM工程师在设计MAX2507时的独具匠心之处。MAX2507保证ACLR指标在所有发射功率电平下均能满足标准要求,且有一定余量的同时,根据发射功率大小自适应地调整功放偏置电流,这使得该芯片在实际应用中非常省电。
发射信号频谱模板
发射信号频谱模板与ACLR同是为防止发信机对邻近频点信道造成干扰而设定的指标,同是由通道的非线性幅度压缩而引起的,较ACLR指标相比,该指标更严格一些。ACLR指标只是粗略地规定了再生频谱分量与主信道频谱分量功率之比,而频谱模板则详细规定了再产频谱分量在偏离载波0.8MHz至4MHz范围内的相对大小。如果你测试过一些线性功放,你就会发现有时ACPR指标很好,但却不能满足频谱模板的要求,原因是再生的频谱分量上下两个边带不对称,且边带的形状并不是想象中的3阶5阶频谱的叠加形状,其形状之所以较理想非线性产物频谱有较大差异,它和非线性器件输入输出匹配有关。虽然MAX2507已设计成50欧姆输入输出阻抗以方便客户使用,但实际应用中MAX2507功放前后的电路并不总是很理想,这样就造成了再生频谱分量的不对称和某些频点处有凸包出现,以至于不能满足频谱模板的要求。为对付该问题,MAXIM在MAX2507内部设计了一个巧妙的电路,通过更改寄存器数值来补偿外部电路的非理想性,从而可以轻松解决该问题。
发射信号调制精度EVM
EVM是衡量发射机发射信号调制精度的一个重要指标,需注意的是该指标不是简单定义射频信号的调制精度,而是先将射频信号映射到I/Q平面,然后经过匹配滤波器,再抽样得到离散的I/Q数值,EVM衡量的是该离散I/Q数值的精度。图2是一个示意图。

图2:EVM指标说明。
由图2看到EVM衡量的是离散I/Q数据点的精度,它与射频信号的精度是不一样的,原因是在求离散I/Q数据点时采用了成型滤波器,在频域上看该滤波器可以将带外噪声抑制掉一些,从而可提高了调制精度指标。3GPP标准中还指出在测量时,应尽可能地调整上图解调过程中本振的频率和相位,以及采取所有可能的措施使最终误差最小,这也就是说射频调制信号中有些失真与干扰将不计入EVM值,这些包括射频通道的线性失真、载波泄漏、I/Q正交调制器的移相偏差、正交分量与同相分量幅度的不平衡,这样算下来,影响EVM指标的还有两大因素:相位噪声与非线性产物。下面是一个简化公式用来估算EVM值。
方程1。
上式中ACLR是指相邻信道的ACLR测量值,是累积相位误差,9.5是针对TD-SCDMA标准的一个修正值。附录一给出了该公式的一个简单推导过程。
为验证上面公式是否正确,我们先利用ESG信号源产生简单的QPSK I/Q信号,这儿码片速率为1.28M,成型滤波器为0.22滚降系数的根升余弦滤波器,将该信号加到图1所示参考设计的输入端,调整参考设计配置使其输出功率为21dBm,这时利用FSIQ测得EVM约等于3.5%,邻信道ACLR为-38.5dBc;接下来我们移开ESG信号源,将参考设计的TxI+短接到地,从而在天线端口得到一个正弦波信号,用FSIQ测量该正弦波的相位噪声,最后计算出1KHz~1MHz范围内累积相位噪声约为1.5度。我们将上面测试结果代入方程1式得:
方程2。
比较EVM测量值和计算值,其误差不到一个百分点,可见方程1作为EVM的估算公式还是很有效的。3GPP标准要求EVM指标不大于17.5%,由上面测试结果可以看到图一所示参考设计有很大余量。
接收机灵敏度与NF
接收机灵敏度是一个系统指标,不仅接收机射频通道的性能影响该指标,基带单元的解调算法也会影响该指标,用此指标来直接衡量射频接收机的性能好坏显然不合适。接收机射频通道对小信号的恶化主要是加性白噪声的影响,它反应接收机的噪声系数指标。相位噪声也会影响信号接收质量,但在小信号时相对加性白噪声的影响则微乎其微,故在此不考虑相位噪声的影响。因此当接收机基带单元确定的情况下,接收机灵敏度信号电平则与整机噪声系数有着直接对应关系。标准3GPP TR 25.945中对灵敏度指标有着详尽描述,标准指出只要接收机噪声系数不大于9dB,整机就应该满足灵敏度指标(灵敏度电平为-108dBm)要求,这里也暗示了如还有问题,则应该是基带解调的问题,与射频接收机无关。图一所示参考设计整机噪声系数约为5.7dB,相对9dB的最低要求有3.3dB余量,照此算来,采用MAXIM该射频套片的手机其整机灵敏度应能达到?111dBm。
接收机非线性指标要求
3GPP TD?SCDMA标准众多指标中有很多与接收机非线性有关,这些指标归纳起来有两类:一类是为防止小信号时强干扰造成性能下降而设定的指标,如阻塞指标、杂散响应指标、双音互调指标;另一类是说信号自身幅度太强,这儿仅有一个指标就是最大输入信号电平指标。为灵活应对这些指标要求,同时考虑手机的节电要求,MAXIM在设计该TD-SCDMA套片时,为接收芯片MAX2392设计了多种工作模式。MAX2392的低噪声放大器有高低两种增益模式,混频器也有两种增益模式,同时混频器的线性度也有两档,这样组合起来MAX2392有四种区别比较明显的工作模式:

表1:接收机工作模式。
下面分别就一些具体的非线性指标要求做详细讨论。
a)接收机最大输入信号电平指标,该指标涉及到接收机的两个问题:接收机通道增益控制范围,因为该指标规定了天线端口最大输入信号电平,而灵敏指标规定了最小输入信号电平,我们总希望基带接口处电平恒定,这就要求通道增益控制范围至少大于这两个指标规定的电平之差;该指标牵扯到的另一个射频通道技术指标就是要求通道在如此大的信号电平下不能发生明显的限幅。针对该指标要求,MAXIM建议将MAX2392置为低增益模式。图一所示参考设计在低增益模式下测到输入1dB压缩点为-11.6dBm,而最大输入信号电平为-25dBm,显然可以满足要求。
b)杂散响应与阻塞指标。杂散响应主要是针对超外差接收机提的指标,杂散响应点也称为寄生频道,它是射频本振与中频的组合频率。与一般阻塞相比,当干扰落在这些寄生频道上时,它会对系统造成更大的危害。MAX2392是零中频接收机,所以该问题不明显。阻塞指标又分为频段内阻塞指标与频段外阻塞指标,频段外阻塞指标对系统的影响部分地可由前端射频滤波器解决。阻塞信号对系统的影响有四个方面:倒易混频影响、交叉调制影响、阻塞信号二次项成份的影响、阻塞信号直接透过信道滤波器加到基带单元输入端口造成的影响。倒易混频影响是指干扰信号与本振边带噪声混频产物对系统的影响,它与本振相位噪声指标有关,与通道非线性指标无关,我们在后面章节再详细讨论该指标。阻塞信号直接透过信道滤波器造成的影响与信道滤波器的带外抑制特性有关,与通道非线性指标无关,我们也把这个影响放到后面去讨论。交叉调制模型见图3。

图3:交叉调制产物。
上图是以放大器为例来说明交叉调制现象,混频器也有交叉调制现象。图中f1频点处信号可认为是阻塞信号,假定其功率谱密度函数为矩形函数,频点f2处点频信号是所要的信号,由图3看到在输出信号频谱中f2处有三角型频谱出现,这就是所说的交叉调制产物,该交叉调制产物大小与通道三阶截止点有关,当输入阻塞信号为平稳正态过程时,交叉调制产物功率可由下式(参考资料【2】中有详细推导过程)算出:
方程3。
即便是频点f2处所要的信号不是点频信号,交叉调制产物依然存在,且电平大小同样由方程3式给出,只是这时交叉调制产物的频谱形状不再是三角形,而是三角形与信号功率谱密度函数的卷积。上面得出的公式是基于正态噪声这一假设的,一般干扰信号与正态噪声相比更接近恒包络信号,交叉调制产物会小一些,当干扰信号为恒包络时,交叉调制产物为零。
3GPP规定TD-SCDMA终端当存在一个调制类型的干扰信号在±4.8MHz处,电平为-49dBm,系统灵敏度可下降3dB。如果我们认为灵敏度下降是因为交叉调制产物所导致的, 只要交叉调制产物功率不大于灵敏度电平时的带内总噪声功率,则该指标就没有问题。假定接收通道噪声系数为标准所要求的最低指标:9dB,由此我们可以推出该指标所要求的等效三阶截止点,该三阶截止点与输入阻塞信号的频率偏移量有关,因为接收通道包括信道选择滤波器。
方程4。
阻塞信号二次项成份对系统的影响模型:

图4:二次项产物。
由上图看到阻塞信号的二次失真产物有三部分构成,当阻塞信号为平稳正态过程时,这三部分产物功率相等,功率大小图4已标出。注意图4中的公式(参考资料【2】提供了简单的非线性产物计算方法,依据该方法可以非常容易地推出图4中的3个公式)是基于正态噪声这一假设的,一般干扰信号与正态噪声相比更接近恒包络信号,低频交流产物会小一些,当干扰信号为恒包络时,低频交流产物为零。该干扰模型仅是针对零中频接收机而言,零中频接收机可简单等效成一个混频器,混频器输出包含本振频率与输入信号频率的各种组合分量,而该干扰模型即是输入信号的二次与本振频率零次的组合分量,该组合分量中的低频交流成份与直流成份恰好落在我们要的频带内,会影响系统性能。直流成份的影响也就是通常所说的DC-offset,MAX2392有专门的DC-Offset去除电路,而低频交流成份则无法去除。
3GPP规定TD-SCDMA终端当存在一个调制类型的干扰信号在±4.8MHz处,电平为-49dBm,系统灵敏度可下降3dB。如果我们认为灵敏度下降是因为阻塞信号二次项成份中的低频交流产物所导致的, 只要该产物不大于灵敏度电平时的带内总噪声功率,则该指标就没有问题。假定接收通道噪声系数为标准所要求的最低指标:9dB,由此我们可以推出该指标所要求的等效二阶截止点,该二阶截止点与输入阻塞信号的频率偏移量有关,因为接收通道包括信道选择滤波器。
方程5。
MAX2392有四种工作模式,在没有干扰而且信号较弱时,建议采用HGML模式;上面阻塞指标所讨论的情况应该是信号很弱,而且有较强干扰,这时建议将MAX2392置为HGHL模式。
通过上面的讨论我们得到两个射频通道指标:IP2和IP3,关于IP3,下面所要讨论的双音互调指标会有更高要求。方程5给出阻塞指标所要求的IP2应大于3dBm,图一参考设计在该指标上有很大余量。
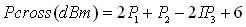
c)双音互调指标。无论是零中频接收机还是超外差接收机都会面临双音互调干扰问题。影响该指标的主要是混频器及前面各级有源器件,混频器后面电路因有信道滤波器的原故,对此指标影响不大。图5是双音互调指标的干扰示意图。

图5:双音互调产物。
注意上图中的两个干扰信号,一个是点频干扰距有用信号较近,另一个是调制干扰,距有用信号较远,这是标准所要求的。观察这个图形还应注意两点:一是这儿是以放大器为例说明3阶失真产物,针对MAX2392来说影响这一指标的应包括低噪放和混频器两部分,混频器后级电路因信道滤波器的作用无大的影响;二是上图忽略了二次项的影响及干扰与信号间的交叉调制影响。
3GPP规定TD-SCDMA终端当存在两个干扰信号,一个为调制类型的干扰信号,在±6.4MHz处,电平为-46dBm,另一个为点频类型干扰信号,在±3.2MHz处,电平为-46dBm,系统灵敏度可下降3dB。如果我们认为灵敏度下降是因为互调产物所导致的,只要该产物功率不大于灵敏度电平时的带内总噪声功率,则该指标就没有问题。假定接收通道噪声系数为标准所要求的最低指标:9dB,由此我们可以推出该指标所要求的等效三阶截止点,该三阶截止点与输入干扰信号的频率偏移量有关,因为接收通道包括信道选择滤波器。
方程6。
针对互调抑制指标所讨论的情况,MAX2392应置为HGHL模式,在该模式下,图1所示参考设计完全能够满足该指标要求且有一定余量。
接收机信道选择性要求
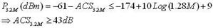
TD-SCDMA标准规定的与接收机线性幅频特性有关的指标包括:ACS、阻塞、杂散响应、交调抑制。阻塞与杂散响应点远离TD-SCDMA频段时,可通过选择射频前端的频段滤波器加以解决,对于频段内的阻塞干扰和杂散响应点,及双音互调干扰,是要通过信道滤波器加以滤除。对于超外差结构的接收机来讲,信道滤波器就是混频器后通常采用的声表面波滤波器。MAX2392是零中频接收芯片,它的信道滤波器是I/Q支路上的有源低通滤波器,这已集成在芯片内部而且指标很高,下面会介绍该滤波器的一些测试数据。ACS是3GPP对接收机所规定的唯一的一个纯射频技术指标,它直接规定了接收机信道滤波器对邻近信道(±1.6MHz)的抑制成度为33dB。带内阻塞指标规定当±3.2MHz处存在-61dBm的调制干扰时,或±4.8MHz处存在-49dBm的调制干扰时,系统灵敏度允许下降3dB。如果我们认为灵敏度下降是因为阻塞干扰直接透过滤波器加到基带单元输入端口所导致的, 而不考虑非线性和倒易混频的影响, 只要透过去的干扰功率不大于灵敏度电平时的带内总噪声功率,则该指标就没有问题。假定接收通道噪声系数为标准所要求的最低指标:9dB,由此我们可以推出该指标所要求的信道滤波器带外抑制特性:
方程7。
方程8。
双音互调指标规定的两个干扰信号,一个是点频干扰,另一个是己调类型干扰,点频干扰其特征明显,基带很容易除理掉,这儿只考虑已调干扰的影响,按与上面带内阻塞同样的分析方法,我们可推出:
方程9。
至此对信道滤波器带外抑制特性我们有了4个参数即:该滤波器对±1.6MHz通道相对抑制应不小于33dB,对±3.2MHz通道相对抑制应不小于43dB, 对±4.8MHz通道相对抑制应不小于55dB, 对±6.4MHz通道相对抑制应不小于58dB。MAX2392信道选择滤波器指标远远高于上述四点要求,图6是MAX2392信道滤波器的实测曲线:

图6:信道滤波器。
相位噪声
TD-SCDMA标准没有明确提出收发信机相位噪声指标,但标准规定的很多其它指标与相位噪声有关:发射信号调制精度EVM指标与发通道锁相环的相位噪声有关,方程式一给出了它们之间的关系,其实EVM主要还是由非线性指标所决定的,除非锁相环指标太差;接收机灵敏度与接收通道本振相位噪声指标有关,但灵敏度指标对相位噪声要求不高,即便是16QAM信号也是一样,影响灵敏度的主要还是加性白噪声;频率稳准度指标与收发锁相环指标均有关, 频率稳准度指标好像在讲频率精确度问题,但仔细琢磨一下标准规定的测试方法,就会明白频率稳准度指标与噪声系数,接收发射通道本振相位噪声,基带单元频率估值算法有关,该指标主要取决于基带算法和发射通道锁相环相位噪声,图一所示参考设计中发射芯片MAX2507的锁相环是Σ-△型锁相环,相位噪声指标非常高;阻塞指标、双音互调指标与接收通道本振相位噪声指标有关。下面就最后这种情况做详细讨论。
阻塞指标、双音互调指标对系统的影响有一个途径就是倒易混频,图7是一个倒易混频的干扰示意图:

图7:倒易混频干扰模型。
在阻塞抑制指标和双音互调指标中都提到允许接收机灵敏度下降3dB, 如果我们认为灵敏度下降的原因全部是由倒易混频产物导致的,则只要该产物功率不大于灵敏度电平时的带内总噪声功率,该指标就没有问题。假定接收通道噪声系数为标准所要求的最低指标:9dB,由此我们可以导出一个限制本振远端噪声底的指标,如下:
方程10。
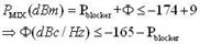
在阻塞及双音互调指标中提到的最大干扰功率为-46dBm点频信号,偏离有用信号中心为3.2MHz,将该值代入上式,我们得到关于接收机本振相噪的一个指标:本振相位噪声在偏离中心3.2MHz外,必须优于-119dBc/Hz。MAX2392在该点处的相位噪声远优于该最低要求。
零中频接收机与DC-Offset
大凡零中频接收机都有DC-offset问题,DC-offset的产生有这样几个原因:本振自混、混频器偶次项非线性失真产物、平衡混频器正反向导通时间不相等、平衡混频器负载不平衡等。不管是怎样产生的,重点是去除该直流偏移量,对于一个电路来说,它要除去直流分量而保留交流分量,那么它必然是一个高通型滤波器,该如何设计这一高通滤波器,又如何方便地调整滤波器参数,则IC厂家们各有特色。一般可以想象得出有三种情况:一是采用固定高通滤波器,以不变应万变,优点是简单,缺点是响应时间长;二是采用一个高拐点的高通滤波器,该滤波器只是在特定时间起作用,响应速度快,响应完后电路记住其响应终值,然后利用该终值去对消通道上的直流偏移量,缺点是环境改变后,记录的以前的响应终值无法对消直流偏移量;三是灵活改变高通滤波器的捌点,很明显它综合了上述两种方法的优点。
本文小结
至此我们共详细讨论了TD-SCDMA手机射频前端设计中的八个关键问题:发射机邻道功率泄漏、发射信号频域模板、发射信号调制精度EVM、接收机灵敏度与NF、接收机非线性指标要求、接收机信道选择性要求、相位噪声、零中频接收机与DC-Offset,通过这些指标的讨论我们看到图一所示 TD-SCDMA手机射频解决方案完全能够满足3G标准要求。
参考资料
[1] 3G标准,TS 25.102, V6.0.0 (Release 6, December 2003).
[2] 《如何估算ACPR指标与交叉调制产物》,作者:王险峰。国外电子元器件2004年第10期
[3] 3G标准, TR 25.945, V5.0.0 (Release 4, 2002-03).
[4] 章潜五编《随机信号分析》,西安电子科技大学出版社,1990
如何成为一名优秀的射频工程师,敬请关注: 射频工程师养成培训
上一篇:射频功率放大器的热测量方法
下一篇:探讨集成LNA在基站设计中的重要性

