- 易迪拓培训,专注于微波、射频、天线设计工程师的培养
集成基站混频器本振噪声的规格与测量
蜂窝基站接收机需要在有较高阻塞/干扰信号的情况下接收天线端微弱的有用信号。干扰信号通常会被滤波器滤除,但滤波是在第一级下变频后的中频(IF)阶段进行的。因此,中频滤波器之前的LNA与混频器必须具有较高的线性度(IP3)和低噪声系数(NF)。
图1给出了一个典型的基站接收机架构的简化框图。接收机从天线开始,然后是高Q值调谐滤波器单元,低噪放位于天线附近。通过同轴线缆将接收到的信号连接到收发信机,收发信机单元由低噪放、低噪声混频器、声表滤波器以及中频放大器构成,最后是模/数转换器(ADC)。第一级混频器将信号下变频至70MHz至100MHz (CDMA 800/GSM 900)或200MHz至300MHz (GSM 1800/GSM 1900/UMTS)。

图1. 蜂窝基站接收机的基本框图
通常使用本振驱动电平大于17dBm的无源平衡二极管混频器来满足对混频器线性度和噪声的要求(图2)。这些基站混频器由分立元件或混合集成电路构成,本振驱动由外部特性阻抗为50Ω的缓冲放大器实现。因此,在信号注入混频器之前增加滤波器,滤除本振残余相噪是可行的。选择IC方案时,必须谨慎考虑本振驱动的噪声,以满足系统要求。在芯片的输入端口通过滤波将本振电平噪声限制到kT,本振缓冲放大器将使本振相噪劣化。当存在大的阻塞信号时,由于本振噪声与强干扰信号之间的倒易混频会增加接收机的噪声。

图2. 带本振滤波的分立式无源17级基站接收机混频器
混频器噪声模型
热噪声是接收机混频器中常见的测量噪声,定义为具有50Ω射频输入端口的混频器的噪声性能,端口的噪声功率密度为-174dBm/Hz (kTo)。输入参考噪声可以由混频器的噪声系数(10log10F)获得。

式中,
k = 玻尔兹曼常数(1.381 x 10-23 J/K)
To = 绝对温度(290K)
F = 混频器的噪声系数。
倒易混频发生在射频端口存在强射频信号的情况下。这是一种在噪声系数(NF)测量中没有计算在内的附加噪声。输入倒易混频噪声Nrmi可以在特定的阻塞电平Sbl条件下评估。假定输入本振噪声为
,带宽为B,中频端口的倒易混频噪声为:

如果干扰频率与有用信号的频率偏差足够大,相位噪声可认为是平坦的。这两个噪声源可看作相互独立,并且可以直接相加(图4所示)。存在阻塞信号时,对输入、输出信噪比的影响可以用下式表示:
本振噪声的定义
根据混频器输出端口所需要的载噪比(C/I)、输入阻塞信号电平(Sbl)、信号电平(Sdes)以及接收噪声带宽(B),可以估算所需的本振噪声,单位为dBc/Hz (
)。对于GSM基站,偏差大于3MHz的最大阻塞信号(Sbl)电平定为-13dBm,在阻塞条件下所需接收灵敏度为-101dBm,GSM系统的带宽‘B’为200kHz。

对于需要C/I比为10的GSM基站系统,计算所得的相位噪声电平
为-151dBc/Hz。考虑到前端热噪声,实际的相位噪声应该大于该值,移动基站的阻塞指标比较宽松,
= -138dBc/Hz。

图3. 典型集成基站接收机混频器,集成了本振驱动和中频放大功能
LO驱动的等效噪声电平
将式1和式2代入式3,得到接收机信噪比下的等效本振噪声电平
(单位为dBc/Hz)。高线性混频器要求较高的本振驱动电平,但同时放大器的底噪也会相应增加。如式2所示,由于倒易混频使本振噪声出现在中频端口,可以在中频端口测量本振驱动放大器的噪声。图5所示配置可以用来测量阻塞条件下的混频器噪声。底噪测量分别在无信号和存在阻塞信号的条件下进行。Nbl由输出热噪声Ntho以及输出倒易混频噪声Nrmo组成,Nbl经过声表滤波器衰减和中频放大。Ntho由小信号噪声(F)和增益(G)确定。
Nrmo可以从Nbl中分离出来,并计算集成本振驱动放大器的
(dBc/Hz)。定义集成混频器的等效噪声可以帮助系统设计者由式3估算信噪比(SNR)的劣化。

图4. 混频器总噪声由热噪声和倒易混频噪声组成
计算举例
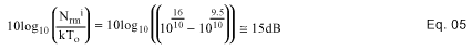
MAX9993是一款为PCS/DCS/UMTS (1.7G至2.2G)应用设计的一款有源混频器。其典型增益为8.5dB,噪声系数9.5dB,IIP3 = 23.5dBm,P1dB = 13.0dBm,工作所需的本振电平在0至6dBm之间。输入参考热噪声Nthi = -174 + 9.5 = -164.5dBm/Hz,输出热噪声Ntho = -174 + 9.5 + 8.5 = -156dBm/Hz。本例中工作频率分别为:fIF = 190MHz,fLO = 1800MHz,fRF = 1990MHz。在偏离fRF 25MHz处(fbl = 2015MHz),注入5dBm的阻塞信号,且使用一个190MHz的中频滤波器(SAWTEK 855770)滤除215MHz处的阻塞信号,用Agilent E4404B频谱分析仪测得的Nbl为-127dBm/Hz。不存在阻塞信号的同样配置下,测得的噪声电平为Ntho = -134dBm/Hz。该配置中,中频放大器的增益和噪声系数分别为29.5dB和2.5dB。所测得的Ntho与使用实验配置下的增益和存在阻塞条件下的噪声系数计算的结果一致。

图5. 存在阻塞情况下测量噪声以及推导
的实验配置

图6. 不同温度条件下MAX9982以dBc/Hz表示的本振噪声(
)相对于输入本振驱动功率的变化
存在阻塞情况下噪声的增加归结到混频器输出噪声表现为Ntho到Nbl的劣化。通过频谱仪测量到的噪声电平(Nbl)来源于热噪声、倒易混频、声表以及中频放大器。通过对整个系统的级联噪声分析,混频器的等效噪声系数由9.5dB增加到16dB。从合成噪声(Nbl)中,使用在混频器噪声部分推导的公式可求出倒易混频噪声Nrmi。式3所示信噪比降低16dB,从式3解出Nrmi,结果是:
输入倒易混频噪声Nrmi = 15dBm/Hz - 174dBm/Hz = -159dBm/Hz。由于使用了5dBm的阻塞信号,
为-164dBc/Hz。该指标远小于GSM所需要的-151dBc/Hz。
以信噪比(dBc/Hz)定义的本振噪声会随着本振驱动信号的变化而变化,同时该驱动信号会受本振驱动的限制。从下述例子可以看到这一点。
MAX9982是一款用于CDMA/GSM频带(825MHz至915MHz)的高线性混频器,其输入IP3 > 26dBm,增益为3dB且噪声系数NF = 11dB。该混频器工作时的本振驱动范围为-5dBm至+5dBm之间。大多数参数随着本振驱动信号而变化。图6给出了一个以驱动电平为函数的
(dBc/Hz)曲线。此次测量所采用的配置与图5完全相同。一个SAWTEK (854823) 86.6MHz的GSM中频滤波器用于衰减中频端口的阻塞信号(DUT口为5dBm)。
结论
本文讨论了在基站集成混频器设计中本振驱动放大器噪声的影响。用一个简单的噪声模型,倒易混频成分可以从存在阻塞信号情况下的整体噪声中提取出来,通过测量在阻塞条件下的整体输出噪声,测量出了两个集成混频器内部的驱动放大器的本振噪声。这个数据可以用来计算阻塞条件下接收机的灵敏度。
参考文献
Frequency Mixers Level 17. Available
H. Wohlmuth and W. Simburger, "A High IP3 RF Receiver Chip Set for Mobile Radio Base Stations upto 2GHz," IEEE JSSC, July 2001.
H. J. Yoo and J. H. Kim, "The Receiver Noise Equation: A Method for System Level Design of an RF Receiver," Microwave Journal, August 2002, pp. 20-34.
E. Ngompe, "Computing the LO Noise requirements in a GSM receiver", Applied Microwave and Wireless, pp.54-58.
Draft GSM 05.05 V8.1.0, European Telecommunications Standard Institute, pg 29, Nov 1999.
J. Lin et al, "A silicon MMIC active balun/buffer amplifier with high linearity and low residual phase noise," 2000 IEEE MTT-S Digest.
R. G. Meyer and A. K. Wong, "Blocking and Desensitization in RF Amplifiers," IEEE JSSC, August 1995.
Maxim Integrated, MAX9981, MAX9982, MAX9993.

