- 易迪拓培训,专注于微波、射频、天线设计工程师的培养
高功率单管放大器设计
1、引言
随着科技的进步,半导体制造技术日新月异。微波晶体管的输出功率能力在个个频段都得到不断提高,在甚高频频段已有单管输出连续波600W的商品管,在L波段单管输出峰值功率300W。单管输出功率增大,使得同等功率量级固态发射机的体积、成本大大降低,电路形式也随之简化。这一切极大地推动了固态发射机在各个领域的应用。
微波晶体管输出功率提高意味着它的输入、输出阻抗变小,尤其是未进行内匹配的晶体管,这给电路的设计带来了许多新问题。本文以高功率晶体管MRF154放大器设计为例,对匹配电路中片状电容器进行分析,给出它的等效电路及放大器的实验结果。
2、理论分析
2.1、输出匹配电路
高频晶体管MRF154是MOTOROLA公司的商品晶体管,它能在100MHz输出600W的功率。该管没有进行内匹配,手册中未给出输入、输出匹配阻抗值。我们可以从它的输出功率、工作电压近似求得输出端的阻抗实部RL。
VDD=50V,P=600W。

故RL的值在1Ω~2Ω之间。
实验在100MHz进行,为简化电路形式,采用一级Г型匹配电路,因此得到
Q =(50/R-1)0.5
ZL =j(RL×Q-X)
ZC =-jRL(1+Q2)/Q
匹配电路原理图如下:

由于R的值较小,所以Q值高,ZL、ZC的模均小于10Ω。故ZL可以采用一段传输线实现,ZC选用片状电容器实现。
2.2、电容器的等效电路
高频与UHF频段,在设计功率放大器的匹配电路时,一般将片状电容器作为集中参数处理,常常认为是一个理想电容器。在小功率单管放大器设计中,电容器的阻抗模值比较大,电容器容量较小,上述假设近似成立,但是大功率单管放大器设计中,阻抗模值比较小,容量较大,上述假设不能成立。如果忽视这一点,将会带来一系列的问题。
理想电容器实际上是不存在的,任何一种电容器工作中都要消耗一定的能量,同时又具有一定的电感。在高频电路中电容器的电特性表现为一个复杂的二端口网络,而非单纯的容抗。其等效电路可简化为如图2所示的形式。

图2中R为电容器引线电阻及介质极化引入的等效电阻之和,C为电容量、L为电容器引线电感。
从图中可以看出电容器有固定的谐振频率,MRF154放大器工作频率是100MHz,故电容器引线电感的感抗不可忽视,图中三部分对电容器整体实际阻抗均有贡献,不可忽略。
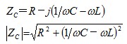
因此得到电容器的阻抗ZC

可见ZC是频率的函数,如果频率高到一定的值时,1/ωC与ωL可比拟,ZC将严重偏离电容器标称值的阻抗(-j/ωC)。
如CC41L-100V-240pF片状电容器,查相关手册得此电容的谐振频率f0=200MHz、R=0.1Ω。根据谐振条件得:
Zc的虚部与频率关系曲线见图3,纵坐标为Zc的虚部(单位Ω),横坐标为频率(单位MHz)。

由此得到:f=100MHz,240Pf的标称电抗值Zc1=-j6.6317Ω,而实际电抗值Zc2=0.1-j4.9746(Ω),可见当电容器容量较大时匹配电路中的容抗是不能由标称值得到的。
电容器的Q值由下式求得


由于R的存在,电容器的Q值不等于无穷大,影响Q值的因素很多。显然它随频率上升而下降,频率相同时容量越大Q值越小。Q值低的电容器意味着在工作中承受的有功功率相对较高。在高功率放大器设计中如果考虑欠佳有功功率造成电容器温升过高易造成电容器失效,影响放大器的性能。
在设计MRF154功率放大器匹配电路时,考虑用6只39Pf的电容器代替一只240Pf电容器。39Pf电容器Q值、谐振频率高,可以近似认为在100MHz时相当于理想电容器、多个电容器并联使它的总体积增大,电容器的宽度对电路有一定的影响,等效电路如图4。实际电路ZL用一段50Ω微带线实现,线宽2mm,片状电容器外形为0805,所以图中微带线宽2mm,长1.27mm。

计算得上图从左边看进取的阻抗Zc=-j6.46Ω。
计算证明工作在100MHz时,上述替代对电路的影响可以忽略不计。
3、实验数据
根据上述分析,设计MRF154放大器的匹配电路,用不同容量的片状电容器组合得到标称容量240Pf,实验数据如下:
a:一只240Pf电容器,输出峰值功率P0=200W。
b:两只120Pf电容器,输出峰值功率P0=300W。
c:六只39Pf电容器, 输出峰值功率P0=640W。
在a、b两种状态下,放大器工作一段时间后电容器出现被烧毁现象,而c状态下,放大器可以一直稳定、可靠地工作。这于前面的分析相吻合。
4、结论
一般我们认为在高频及UHF频段的匹配电路为半集中、半分布式混合电路,常常将片状电容器作为集中参数处理。当一定条件下,这种近似可以成立,但是在高频高功率放大器匹配电路中电容器容量往往较大,电容器的实际阻抗偏离其标称值。前面的计算及实验已证明了这一点。
正确认识设计中选用元器件的等效模型必将提高我们设计的准确性,降低调试强度。
作者:马如涛 华东电子工程研究所
参考文献
1 《电容器》 天津大学无线电材料与元件教研室
2 谢嘉奎 宣月清 《电子线路》 高等教育出版社

