- 易迪拓培训,专注于微波、射频、天线设计工程师的培养
基于3G手机的RF屏蔽设计
蜂窝发射模块对手机内的任何元件来说都将产生最大的辐射功率,从而可能诱发EMI和RFI。类似这样的问题可以采用RF屏蔽技术来降低与EMI及射频干扰(RFI)相关的辐射,并可将对外部磁场的敏感度降至最低。那么,什么样的屏蔽设计方法具有最佳效率呢?这个由三部分组成的系列文章围绕当今蜂窝发射模块来讨论有效的RF屏蔽方法。
近年来,手机在形态、功能、性能和成本方面都发生了巨大变化。不断演进的新技术催生出更小、更高能效和高度集成的半导体器件,从而不断孕育出集成度更高的便携(移动)手机产品。运营商在提供额外的诸如短信服务(SMS)、多媒体(MMS)和GPS等服务,而制造商为移动蜂窝手机增加了诸如FM射频等辅助无线功能、以及MP3播放机和数码照相机等其它功能。实现全部这些特性所要求的外形和体积对手机设计师和硬件工程师提出了相当挑战。
因此,工作在印刷线路板(PCB)级的手机设计师遭遇到诸如集成器件间的耦合、线耦合和交叉干扰等不期望发生的核心问题。而所有这些问题又导致了更多的设计返工、手机外形间缺少通用性以及被延长的设计周期,而上述这些又都增加了手机开发成本。在当今竞争激烈的市场压力条件下,这些因素对移动手机制造商和研制它们的设计师的成功来说,发挥着关键作用。

在手机设计早期就确认可有助于解决这些核心问题的一个领域是广为采用的屏蔽。屏蔽减小了电磁干扰(EMI)和射频干扰(RFI)、极大削弱了不希望的辐射、缓解了它引发的灾难。目前,屏蔽与RF频率如影随形,因全部RF通信标准都有某种要求把不期望辐射最小化的规定。
屏蔽的效能由它在一个宽的频谱范围内,能多大程度上衰减辐射信号来表征。例如,一个带活动盖的金属"容器"可构成一个屏蔽,或容器本身可直接固焊在PCB上。采用盖结构对调节很有用,所以常被用在电视调谐器等应用,但该屏蔽的效能高度依赖盖和容器间的电气连接。它以RF屏蔽所根据的基本概念为基础:时变电磁场(EM)会在导体内环绕场线感应出电流。所以,完美导体内的感应电流会产生一个与诱发场相反的EM场,从而使导体内的场线抵消。因此,屏蔽上过多的孔洞、槽沟和开口会降低屏蔽效能,这是因感应电流只能在导体上存在自由电子的部位流动。导体(容器)上的开口意味着该处没有自由电子,它会导致电流寻找沿着开口处的其它途径流动,从而使感应场无法完全抵消诱发场。表皮深度是另一个重要因素,它由EM波穿透传导膜的能力决定。特别是当低频具有特别重要性时,为有效屏蔽辐射的RF信号,会需要一个更厚的膜。
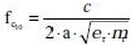
本讨论中,与屏蔽相关的重点将围绕当今手机设计中一个通用的RF半导体元件——蜂窝发射模块(TxM)展开。简言之,TxM是由在一种类似PCB的基板上固放上裸片和无源器件构成的。然后将该组件进行包注模(overmolded)处理,之后它就可被固焊在手机PCB上。因它对手机内的任何元件来说都产生最大的辐射功率,进而极有可能诱发EMI和RFI,所以该例子特别有用。另外,整体上,TxM与矩形波导的尺度类似,根据Pozar[1],矩形波导的截至频率为:
......1
其中,"m"和"n"代表模式,"μ"和"e"分别代表渗透率和介电常数,等式1表示:若尺寸"a"大于"b",则主导模式是TE10。因此,等式1重写为:
......2
其中:"c"是光速;"E1"代表相对介电常数;"μr"是相对渗透率;"a"是开口。
等式2指出,如我们预期的,截至频率随开口"a"尺寸的缩小而增加。当屏蔽上有若干开口时,方程式会变得更复杂,从而进一步强调了完全没有开口的重要性。
金属屏蔽容器继续被用来从外部对TxM和手机的RF部分实施屏蔽;但最近有一种在TxM内部进行嵌入式屏蔽的趋势。仅就TxM屏蔽来说,已开发出若干对TxM进行屏蔽的方法。方法之一是采用一个简单金属容器构成的嵌入式屏蔽,但该方法要求在容器上开多个孔以允许注模填料(mold compound)容易地流灌整个模块,这是模块化组装所必需的。但根据本文前述的波导理论,屏蔽效能不仅与屏蔽上开口尺寸也与开口数有关,开孔越大、数越多则效能降低得越厉害。
RFMD开发出一种已申请了专利的MicroShield集成RF屏蔽替代技术。该集成屏蔽把在一个封装好的半导体注模填料的外部再包裹上一层薄金属作为整个组装工艺的最后步骤。采用这种技术实现的屏蔽对模组高度的影响微乎其微且在降低EMI和RFI辐射的生产中可重复进行。
为确证MicroShield技术的超卓能效,在一个测试载体上,采用RF3178 TxM对辐射进行了测试(图1)。

图1、实用的高性能RFID接收器架构
测试结果清楚表明,两种屏蔽技术在性能上差别显著:MicroShield明显优于嵌入式屏蔽技术。平均看,在辐射衰减方面,MicroShield集成RF屏蔽技术比嵌入式技术优于15dB。
但作为TxM设计师来说,取得这些结果并非唾手可得之事。从TxM设计角度看,添加屏蔽给设计师带来若干问题。首先,紧挨着的屏蔽和电磁辐射电路改变了频率响应,其频响不再与"素颜(未模封)"、完全调整好的TxM一致,从而改变了屏蔽后电路的性能。特别是在更高频率可更好地观察到这些效应。这样,当增加屏蔽时,建模和EM模拟对确保好结果具有极其重要的意义。
因3D EM模拟会很耗时,所以根据电路的复杂性以及需提供足够精度的四面体元件的数量,先从一个不太复杂的电路着手并确认其具有重要性的关键部分的作法就功不唐捐了。例如,根据场论不难得出:两条载场信号线挨得越近,就越趋向于产生更大耦合。这些信号线载负着时变电荷,这些电荷业已嵌入在基板内并被诸如地平面等金属裹覆起来,所以,当施加外屏蔽时,实质上不会在场线上表现出额外干扰。只有信号线、元件或线绑定才在其各自场线面临显著变化,因这些元素暴露在空气中或被包注模以作为边界条件。
图2显示的是具有包注模TxM的功放部分的输出匹配,它有两种情况:不带屏蔽以及在包注模上施加屏蔽。该双端口模拟是采用Ansoft的3D EM软件工具HFSS实现的。

输出匹配虽然仅表示整个TxM内无源电路的一小部分,但在确定耦合机理和高阶谐波影响方面仍有效用。
第二个关注的地方是微带线附近的场线,在靠近地平面的地方它们最强。只要屏蔽和地平面间的距离明显大于微带线和地平面间的距离,则增加的屏蔽的效用就微乎其微。线绑定和表贴电感与地平面的直接耦合要弱些,当施加屏蔽时,预期其场线会有变化。图3显示的是3D模拟的E场分布。
图3显示的是不带屏蔽的输出匹配的电磁模拟,其电场以伏/米表征。深红色意味着强场线,而深蓝色表示电场实质不存在。如所预料,表贴电感和绑定线附近的场线不那么稳固,所以,若在包注模上增加屏蔽则更可能对其产生影响。下一步是勾画并检测双口S参数模拟在带和不带屏蔽条件下相对于高阶谐波的任何变化。

输出匹配的3D-EM模拟(图4)揭示出在更高频率下共振的改变。在TxM内,电路远比简单的输出匹配复杂。另外,如在模拟中看到的,为规避高阶谐波所实现的高Q槽路所受到的影响将明显大于给单一共振带来的简单变化。

最后的任务是对不带屏蔽的TxM进行辐射测量并将结果与采用MicroShield集成RF屏蔽技术的TxM进行对比。为实施准确测量,必须避免待测PCB上从连接器和其它板上电路造成的RF功率泄漏;因此,为进行这些测量所设计的测试板包含若干独立屏蔽容器,如图5所示。

全部辐射测量都是在丹麦哥本哈根的Delta Technologies进行的。被测设备放在不吸收和不反射材料的表面(图6)。在该测试中,RFMD的另一款TxM产品(RF3282)用作测试载体。

图7显示的是发自RF3282 TxM的辐射功率。红色图表示没有屏蔽的TxM,蓝色图表示的是采用MicroShield屏蔽的TxM。注意:为更清楚地显示两种被测器件的差异,蓝色图被稍微右移。如图所示,MicroShield集成RF屏蔽显著降低了辐射功率。在10.5GHz仅有一个示警。它昭示着这两种情况:或是存在另一种模式(腔模式),或是结果也许与流经屏蔽表面的地电流相关。但无论如何,对辐射功率的平均衰减可达15dB或更高。

我们讨论了MicroShield屏蔽技术在抑制EMI和RFI方面的优势,该技术提升了满足规约要求的能力。另外,MicroShield集成RF屏蔽还同时把外部EMI/RFI干扰的影响降至最低,从而弱化了手机设计中存在的性能漂移问题。
因手机设计师和制造商越来越依赖手机平台来满足其时间和成本要求,所以器件对PCB布局的敏感性是个关键因素。过去,当这些平台被用于不同手机设计时,性能会被打折,具体表现在EMI和RFI辐射通常成为性能不一致的主要诱因。借助支持MicroShield的RF器件,手机制造商有能力像安放对EMI/RFI不敏感的任何器件一样,安放高度复杂的RF模块,从而提供了一种真正、可包容PCB改变和布局变化的"即插即用"方案。通过规避对PCB布局的敏感性,MicroShield避免了重新调节电路的风险,因此,加快了上市进度并降低了RF实现的成本。
如何成为一名优秀的射频工程师,敬请关注: 射频工程师养成培训
上一篇:微波MEMS滤波器的研究进展
下一篇:采用PLL技术的接收机射频前端的设计

