- 易迪拓培训,专注于微波、射频、天线设计工程师的培养
On Semi A5191HRT单片现场仪表HART解决方案
录入:edatop.com 点击:
On Semi公司的A5191HRT是用于可寻址远程传感器高速通道(HART)现场仪表的单片CMOS调制解调器,只需外接几个元件就可组成HART物理层所需的所有功能,包括调制,解调,接收滤波,载波检测和发送信号整形.工作电压3.0V-5.5V,每秒FSK调制解调器半双工1200比特, Bell 202移频1200Hz和2200Hz,主要用在HART复接器,HART调制解调器接口和4-20mA回路发送器.本文介绍了A5191HRT主要特性,方框图, 应用框图以及评估板A5191HRTNGEVB主要特性,电路图,材料清单,PCB布局图和接收器滤波器电路图及其元件数值.
The A5191HRT is a single−chip, CMOS modem for use in highway addressable remote transducer (HART) field instruments and masters.
The modem and a few external passive components provide all of the functions needed to satisfy HART physical layer requirements including modulation, demodulation, receive filtering, carrier detect, and transmit−signal shaping.
The A5191HRT uses phase continuous frequency shift keying (FSK) at 1200 bits per second. To conserve power the receive circuits are disabled during transmit operations and vice versa. This provides the half−duplex operation used in HART communications.
A5191HRT主要特性:
• Single−chip, Half−duplex 1200 Bits per Second FSK Modem
• Bell 202 Shift Frequencies of 1200 Hz and 2200 Hz
• 3.0 V − 5.5 V Power Supply
• Transmit−signal Wave Shaping
• Receive Band−pass Filter
• Low Power: Optimal for Intrinsically Safe Applications
• Compatible with 3.3 V or 5 V Microcontroller
• Internal Oscillator Requires 460.8 kHz Crystal or Ceramic Resonator
• Meets HART Physical Layer Requirements
• Industrial Temperature Range of −40℃ to +85℃
• Available in 28−pin PLCC, 32−pin QFN and 32−pin LQFP Packages
• These are Pb−Free Devices
A5191HRT 应用:
• HART Multiplexers
• HART Modem Interfaces
• 4 − 20 mA Loop Powered Transmitters

图1. A5191HRT方框图

图2. A5191HRT应用框图
评估板A5191HRTNGEVB
The A5191HRTNGEVB evaluation board includes all external components needed for operating the A5191HRT IC and demonstrates the small PCB surface area such an implementation requires. The EVB allows easy design of HART implementations using A5191HRT.

图3. 评估板A5191HRTNGEVB外形图

图4. 评估板A5191HRTNGEVB电路图

图5.A5191HRT接收器滤波器电路图
接收器滤波器元件数值:

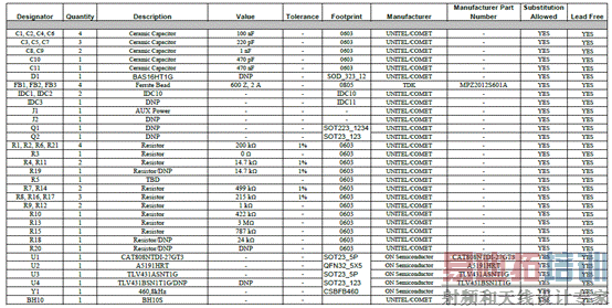
评估板A5191HRTNGEVB材料清单:


图6. 评估板A5191HRTNGEVB元件布局图

图7. 评估板A5191HRTNGEVB PCB布局图:顶层

图8. 评估板A5191HRTNGEVB PCB布局图:底层
详情:
A5191HRT-D.pdf(192.93 KB, 下载次数: 9)
和
A5191HRTNGEVB_MANUAL.pdf(2.52 MB, 下载次数: 25)
来源:网络
The A5191HRT is a single−chip, CMOS modem for use in highway addressable remote transducer (HART) field instruments and masters.
The modem and a few external passive components provide all of the functions needed to satisfy HART physical layer requirements including modulation, demodulation, receive filtering, carrier detect, and transmit−signal shaping.
The A5191HRT uses phase continuous frequency shift keying (FSK) at 1200 bits per second. To conserve power the receive circuits are disabled during transmit operations and vice versa. This provides the half−duplex operation used in HART communications.
A5191HRT主要特性:
• Single−chip, Half−duplex 1200 Bits per Second FSK Modem
• Bell 202 Shift Frequencies of 1200 Hz and 2200 Hz
• 3.0 V − 5.5 V Power Supply
• Transmit−signal Wave Shaping
• Receive Band−pass Filter
• Low Power: Optimal for Intrinsically Safe Applications
• Compatible with 3.3 V or 5 V Microcontroller
• Internal Oscillator Requires 460.8 kHz Crystal or Ceramic Resonator
• Meets HART Physical Layer Requirements
• Industrial Temperature Range of −40℃ to +85℃
• Available in 28−pin PLCC, 32−pin QFN and 32−pin LQFP Packages
• These are Pb−Free Devices
A5191HRT 应用:
• HART Multiplexers
• HART Modem Interfaces
• 4 − 20 mA Loop Powered Transmitters

图1. A5191HRT方框图

图2. A5191HRT应用框图
评估板A5191HRTNGEVB
The A5191HRTNGEVB evaluation board includes all external components needed for operating the A5191HRT IC and demonstrates the small PCB surface area such an implementation requires. The EVB allows easy design of HART implementations using A5191HRT.

图3. 评估板A5191HRTNGEVB外形图

图4. 评估板A5191HRTNGEVB电路图

图5.A5191HRT接收器滤波器电路图
接收器滤波器元件数值:

评估板A5191HRTNGEVB材料清单:


图6. 评估板A5191HRTNGEVB元件布局图

图7. 评估板A5191HRTNGEVB PCB布局图:顶层

图8. 评估板A5191HRTNGEVB PCB布局图:底层
详情:
A5191HRT-D.pdf(192.93 KB, 下载次数: 9)
和
A5191HRTNGEVB_MANUAL.pdf(2.52 MB, 下载次数: 25)
来源:网络
上一篇:LIV脚本函数调用
下一篇:LIV测试中,2602型源表系统设置


