- 易迪拓培训,专注于微波、射频、天线设计工程师的培养
用示波器对相位测量
录入:edatop.com 点击:
相位测量。两个信号之间相位差的测C062K105K5X5CA量可利用仪器的双踪显示功能进行。图2. 21给出了两个具有相同频率的超前和滞后的正弦波信号,用双踪方波器显示的例子。此时,“触发源”开关必须置于超前信号相连接的通道,同时节”Time/DIV”开关,使显示的正弦波波形大于1个周期,

如图2. 21所示。一个周期占6格,则1格刻度代表波形相位60。故相位差Acp为

观察利萨育图,将按钮“X-Y”按下,此时由“CH1”端口输入的信号就为X轴信号,其偏转灵敏度仍按该通道的垂直偏转因数开关指示值读取,从“CH2”端口输入Y轴信号,这时示波器就工作在X-Y显示方式。
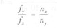
在示波器X轴和Y轴同时各输入正弦信号时,光点的运动是两个相互垂直谐振动的合成,若它们的频率的比值工:fy=整数时,合成的轨迹是一个封闭的图形,称为利萨育图。利萨育图的图形与频率比和两信号的位相差都有关系,但利萨育图与两信号的频率比有简单的关系为

式中利萨育图的外切水平线的切点数和外切垂直线的切点数,如图2.22所示。
上一篇:成为DSO专家:扩展示波器用途的另外十个技巧
下一篇:示波器对信号频率的测量


