- 易迪拓培训,专注于微波、射频、天线设计工程师的培养
成为DSO专家:扩展示波器用途的另外十个技巧
录入:edatop.com 点击:
先前的文章介绍了扩展中档数字存储示波器(DSO)基本功能的十个技巧,本文将介绍另外十个技巧,它们可以帮助你节省时间,并使你成为公司的DSO专家。你可以点击下面的链接直接查看某个具体技巧。
解调PWM信号
脉宽调制(PWM)被广泛应用于开关电源和电机控制器。分析控制环路的动态情况要求观察脉冲宽度随时间的变化。如果你的示波器具有电源分析选件包,那么你就能直接使用这个功能。如果你的示波器没有这方面的配置,你可以使用示波器的跟踪(某些示波器中的时间跟踪)功能解调出PWM控制信号。
首先,确保你的示波器包含所有实例测量。也就是说,如果你测量波形的宽度,示波器将测量屏幕上出现的波形的每个周期。示波器还应该包含依据测量到的参数产生波形的跟踪功能。宽度或“width@level”参数的跟踪可以显示每个周期脉宽随时间的变化,并且与源轨迹同步。因此宽度跟踪是解调PWM信号的理想工具。跟踪功能可以从参数或数学设置中访问。
图1显示了作为负载电流阶跃变化(轨迹C2,从上数第3个)响应的PWM控制器输出(轨迹C1,顶部轨迹)的跟踪轨迹F1,即展示width@level 参数与时间关系的(底部轨迹)。缩放轨迹Z1(从上数第2个)是水平方向放大了的随负载变化的控制器输出,展示了脉宽的变化。

图1:使用width@level参数跟踪功能,在数学轨迹F1(最底部的轨迹)中显示PWM波形每个周期即时宽度与时间的关系,反应了轨迹C2(从上数第3条)所示的负载电流的阶跃变化。
参数可以像图1中那样应用于跟踪功能,其中参数P2到P4分别从跟踪波形中读取最大、最小、平均和最后一个脉冲宽度。
创建用于评估磁性器件的磁滞图
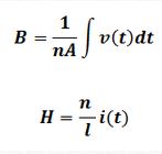
用于电感或变压器等电磁元件的磁滞或B/H曲线是一种常见的电源测量项目。磁性材料可以通过绘制作为磁场强度(H)函数的磁通密度(B)进行表征。这个功能有时在示波器的电源分析选件中提供。这种图也很容易在带X-Y显示器的任何示波器上创建。图2显示了如何连接电感和信号发生器产生B/H曲线。

图2:将电压波形v(t)连接到示波器X-Y显示器的垂直或Y通道。电流波形i(t)连接到水平或X通道。

H是磁场强度,单位为安培/米
B是磁通密度,单位特斯拉
A是横截面积,单位平方米
n是匝数
l是平均路径长度,单位米
v(t)是电感上的电压,单位伏特
i(t)是流过电感的电流,单位安培
需要注意的是,为了确定磁通密度,必须对电压波形求积分。
如果需要的话,你可以使用重定标数学函数对磁场强度和磁通密度进行调整。这要求掌握待测器件的物理特性知识,如上面公式中规定的那样。
图3显示了这种电压与电流经积分后的B/H曲线在示波器屏幕上显示的结果。从待测器件施加的电压用数学轨迹F1进行积分,并在数学轨迹F2中作了重新定标,最终在X-Y显示器的垂直轴上读取单位为特斯拉的磁通密度。电流波形在数学轨迹F3中得到重新定标,并应用于水平轴。

图3:根据电感上的电压和流经电感的电流产生并经过适当调整的磁滞图。
将波形数据重定标为合适的单位
在前一章节中,我们必须将电压波形的积分转换为磁通密度。这要求将波形除以一个常数(匝数与横截面的乘积)。另外,正确的单位应该是特斯拉。这些操作可以使用示波器的重定标数学函数来完成。重定标允许用户将波形乘上一个常数,然后再增加一个常数,而且可以通过配置用用户选择的单位覆盖原有单位(本例中是伏特)。本例中使用的示波器提供48种标准电气单位,包括特斯拉。 [p] [p]
发现信号异常
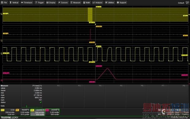
全部实例测量是示波器基于采集波形每个周期进行时序测量的能力。如果你测量每个周期,你可以显示跟踪图,用于展示被测参数随时间的变化,而该变化与采集的信号输入是完全同步的。图7包含这一功能的例子。

图7:使用上升时间跟踪参数寻找具有缓慢上升时间的单个波形周期。
采集信号是一个具有781个周期的4MHz正弦波。从上升时间参数(P1)统计数据看,我们可以发现每个周期要做一次测量,因此共有781个值。上升时间的平均值是2.88ns。最小值是接近平均值的2.8ns,但最大值是27ns。打开上升时间跟踪曲线数学轨迹F1,我们可以在轨迹中心附近看到一个峰值。跟踪图显示了随时间变化的每个周期测量值。它在时间上与轨迹C1中所采集的波形是同步的。跟踪到的上升时间最大值是27ns。其位置与具有缓慢上升时间的周期在时间上是同步的。
将缩放轨迹Z1和Z2分别用作C1和F1的缩放图,同时应用多次缩放功能进行水平跟踪,我们可以扩展它们寻找到对应于最大周期值的单个周期。
这是全部实例测量的优势。你可以见到以单个周期为基础的波形时序变化。这种技术可以代替使用WaveScan搜索功能寻找具有缓慢上升时间的这种脉冲。
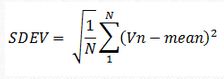
均方根和标准偏差
均方根(rms)和标准偏差(sdev)是密切相关的测量。rms的计算公式是:

其中N是波形中的点数,Vn是第n个采样点的值。
标准偏差被定义为:

其中N是波形中的点数,Vn是第n个采样点的值,mean是V的平均值。
对于零均值的波形来说,上面两个公式是一致的,rms值和标准偏差相等。当信号均值为非零时,从每个数据点减去均值后的sdev值就是减去均值后样本的rms值。因此sdev是真正的交流rms值(在减去均值后的rms值)。
考虑图12所示3.3V电源输出上的纹波和噪声的测量。

图12:使用标准偏差(sdev)测量3.3V电源输出上噪声和纹波的交流rms值。
波形均值用参数P1进行读取。这是与纹波和噪声无关的标称直流输出。rms值P2同时包含了均值、纹波和噪声。标准偏差(参数P3中的sdev)仅读取电源输出中的交流分量(噪声和纹波)。要从每个测量点减去均值。因此标准偏差是“交流”rms值。
rms值现在变高了,因为包含了偏移量。知道均值和rms值后就可以计算sdev值了。

为了计算电源输出上只是噪声和纹波的rms值,你可以选择标准偏差或交流rms。
本文小结
至此你又掌握了另外10个示波器功能的应用,它们可以帮助你扩展这种通用仪器的用途。希望其中一些应用技巧能够帮助到你的日常工作。
解调PWM信号
脉宽调制(PWM)被广泛应用于开关电源和电机控制器。分析控制环路的动态情况要求观察脉冲宽度随时间的变化。如果你的示波器具有电源分析选件包,那么你就能直接使用这个功能。如果你的示波器没有这方面的配置,你可以使用示波器的跟踪(某些示波器中的时间跟踪)功能解调出PWM控制信号。
首先,确保你的示波器包含所有实例测量。也就是说,如果你测量波形的宽度,示波器将测量屏幕上出现的波形的每个周期。示波器还应该包含依据测量到的参数产生波形的跟踪功能。宽度或“width@level”参数的跟踪可以显示每个周期脉宽随时间的变化,并且与源轨迹同步。因此宽度跟踪是解调PWM信号的理想工具。跟踪功能可以从参数或数学设置中访问。
图1显示了作为负载电流阶跃变化(轨迹C2,从上数第3个)响应的PWM控制器输出(轨迹C1,顶部轨迹)的跟踪轨迹F1,即展示width@level 参数与时间关系的(底部轨迹)。缩放轨迹Z1(从上数第2个)是水平方向放大了的随负载变化的控制器输出,展示了脉宽的变化。

图1:使用width@level参数跟踪功能,在数学轨迹F1(最底部的轨迹)中显示PWM波形每个周期即时宽度与时间的关系,反应了轨迹C2(从上数第3条)所示的负载电流的阶跃变化。
参数可以像图1中那样应用于跟踪功能,其中参数P2到P4分别从跟踪波形中读取最大、最小、平均和最后一个脉冲宽度。
创建用于评估磁性器件的磁滞图
用于电感或变压器等电磁元件的磁滞或B/H曲线是一种常见的电源测量项目。磁性材料可以通过绘制作为磁场强度(H)函数的磁通密度(B)进行表征。这个功能有时在示波器的电源分析选件中提供。这种图也很容易在带X-Y显示器的任何示波器上创建。图2显示了如何连接电感和信号发生器产生B/H曲线。

图2:将电压波形v(t)连接到示波器X-Y显示器的垂直或Y通道。电流波形i(t)连接到水平或X通道。

H是磁场强度,单位为安培/米
B是磁通密度,单位特斯拉
A是横截面积,单位平方米
n是匝数
l是平均路径长度,单位米
v(t)是电感上的电压,单位伏特
i(t)是流过电感的电流,单位安培
需要注意的是,为了确定磁通密度,必须对电压波形求积分。
如果需要的话,你可以使用重定标数学函数对磁场强度和磁通密度进行调整。这要求掌握待测器件的物理特性知识,如上面公式中规定的那样。
图3显示了这种电压与电流经积分后的B/H曲线在示波器屏幕上显示的结果。从待测器件施加的电压用数学轨迹F1进行积分,并在数学轨迹F2中作了重新定标,最终在X-Y显示器的垂直轴上读取单位为特斯拉的磁通密度。电流波形在数学轨迹F3中得到重新定标,并应用于水平轴。

图3:根据电感上的电压和流经电感的电流产生并经过适当调整的磁滞图。
将波形数据重定标为合适的单位
在前一章节中,我们必须将电压波形的积分转换为磁通密度。这要求将波形除以一个常数(匝数与横截面的乘积)。另外,正确的单位应该是特斯拉。这些操作可以使用示波器的重定标数学函数来完成。重定标允许用户将波形乘上一个常数,然后再增加一个常数,而且可以通过配置用用户选择的单位覆盖原有单位(本例中是伏特)。本例中使用的示波器提供48种标准电气单位,包括特斯拉。 [p] [p]
发现信号异常
全部实例测量是示波器基于采集波形每个周期进行时序测量的能力。如果你测量每个周期,你可以显示跟踪图,用于展示被测参数随时间的变化,而该变化与采集的信号输入是完全同步的。图7包含这一功能的例子。

图7:使用上升时间跟踪参数寻找具有缓慢上升时间的单个波形周期。
采集信号是一个具有781个周期的4MHz正弦波。从上升时间参数(P1)统计数据看,我们可以发现每个周期要做一次测量,因此共有781个值。上升时间的平均值是2.88ns。最小值是接近平均值的2.8ns,但最大值是27ns。打开上升时间跟踪曲线数学轨迹F1,我们可以在轨迹中心附近看到一个峰值。跟踪图显示了随时间变化的每个周期测量值。它在时间上与轨迹C1中所采集的波形是同步的。跟踪到的上升时间最大值是27ns。其位置与具有缓慢上升时间的周期在时间上是同步的。
将缩放轨迹Z1和Z2分别用作C1和F1的缩放图,同时应用多次缩放功能进行水平跟踪,我们可以扩展它们寻找到对应于最大周期值的单个周期。
这是全部实例测量的优势。你可以见到以单个周期为基础的波形时序变化。这种技术可以代替使用WaveScan搜索功能寻找具有缓慢上升时间的这种脉冲。
均方根和标准偏差
均方根(rms)和标准偏差(sdev)是密切相关的测量。rms的计算公式是:

其中N是波形中的点数,Vn是第n个采样点的值。
标准偏差被定义为:

其中N是波形中的点数,Vn是第n个采样点的值,mean是V的平均值。
对于零均值的波形来说,上面两个公式是一致的,rms值和标准偏差相等。当信号均值为非零时,从每个数据点减去均值后的sdev值就是减去均值后样本的rms值。因此sdev是真正的交流rms值(在减去均值后的rms值)。
考虑图12所示3.3V电源输出上的纹波和噪声的测量。

图12:使用标准偏差(sdev)测量3.3V电源输出上噪声和纹波的交流rms值。
波形均值用参数P1进行读取。这是与纹波和噪声无关的标称直流输出。rms值P2同时包含了均值、纹波和噪声。标准偏差(参数P3中的sdev)仅读取电源输出中的交流分量(噪声和纹波)。要从每个测量点减去均值。因此标准偏差是“交流”rms值。
rms值现在变高了,因为包含了偏移量。知道均值和rms值后就可以计算sdev值了。

为了计算电源输出上只是噪声和纹波的rms值,你可以选择标准偏差或交流rms。
本文小结
至此你又掌握了另外10个示波器功能的应用,它们可以帮助你扩展这种通用仪器的用途。希望其中一些应用技巧能够帮助到你的日常工作。
上一篇:示波器探头的5个基本问题及其使用注意事项
下一篇:用示波器对相位测量


