- 易迪拓培训,专注于微波、射频、天线设计工程师的培养
WCDMA网络中的多媒体流量特性及流量模型分析
摘要:3G移动通信网络的业务增加了对多媒体的支持,加大了对系统带宽的要求,对系统资源的设计、配置增加了不小的压力。为设计新的网络,对系统资源进行合理分配,提高服务质量(QoS),人们需要了解3G移动通信网络的流量特性和流量模型。经过分析,本文以WCDMA为例,分析了3G移动通信网络的网络流量特性,给出了网络流量模型,进而给出了3G移动通信网络的合成流量与系统存储容量之间的函数关系。
1 引言
在WCDMA R6中增加了一系列新的业务:WSS(Wideband Speech Service),PSS(Packet-switch Streaming Service ),MMS(Multimedia Messaging Service),IMS(IP Multimedia Services)。这些新业务的共同特点就是对多媒体的支持,这也正是WCDMA R6所强调的重点及其优势所在。实际上,MSS和PSS标准就是3GPP针对短消息(SMS)之后的庞大市场而专门制定的标准,可见其意义之重大。
WCDMA R6将为核心网提供全IP网络,这样,就形成了一个支持音频和视频服务的IP多媒体网络。该网络能够保障所提供的音频和视频服务的服务质量(QoS),另外还支持音频和视频通信的无缝集成。这样,就对WCDMA的流量分析造成了以下两方面的影响。
首先,与传统的请求/应答的HTTP流量相比,多媒体流通常有更长的持续时间。一般情况下,多媒体流采用UDP协议作为下层的传输协议,这样就对网络拥塞反应较慢。所以,多媒体流的流量特性与Web流量的差异很大。随着多媒体流流量的增加,网络性能会受到重要影响。所以,WCDMA R6新业务对多媒体的支持极大地加大了对系统带宽的要求,对系统资源的设计、配置增加了不小的压力。为设计新的网络,对系统资源进行合理分配,人们需要了解WCDMA新业务的流量特性和流量模型。
其次,这些新业务极大地丰富了客户的选项和需求。为了更加有效地使用系统资源、满足不同客户的各种要求,QoS对WCDMA R6的重要性相应地上升到前所未有的高度。为了在WCDMA R6的网络中有效地提高QoS,人们也需要了解WCDMA新业务的流量特性和流量模型。
从以上两方面出发,WCDMA R6的运营商和设备供应商都迫切需要了解WCDMA新业务的流量特性和流量模型,这也是本文所关注的重点。
2 3G移动通信网络新业务的网络流量模型
WCDMA R6的新业务有WSS,PSS,IMS,MMS。其中,PSS是包交换业务流服务,IMS是实时IP多媒体服务,MMS是非实时多媒体消息服务。
在这3类新业务中,WSS为音频业务流,其余均为多媒体流,本文分别予以讨论。
2.1 WSS业务的网络流量模型
WSS为音频业务流,包括用户的语音通话。尽管在WCDMA R6中,可用带宽增加了,但这对用户的语音通话的行为方式没有影响。所以WSS的流量特性仍然符合传统的语音通话流量模型。
语音通话行为用交替的活跃时段和安静时段表示,一个事件驱动的状态模型(见图1)被用来刻画这两种随机时段。实际上,活跃时段和安静时段均符合负指数分布。Tactive表示通话处于活跃时段,并且在上行链路上进行发送的平均时间,Tsilent表示通话处于安静时段,并且在下行链路上进行接收的平均时间。并且,两者的均值满足:Tsilent+Tactive=3s。这使得一条通话信道的活跃期大约为50%~60%。这里需要注意,所有移动用户的通话行为彼此无关。

图1 通话行为模型
如图2所示,一次语音通话服务的会话持续时间的均值为tD,Speech=120,该会话持续时间符合负指数分布。而且在这一时段,建立该会话的连接将独占系统的相关资源。

图2 话音业务服务模型
2.2 PSS,IMS和MMS业务的网络流量模型
由于WCDMA R6增加了可用带宽,这几种新业务都能够为移动设备同时提供多媒体服务,并且支持以下多种媒介类型:音频业务流(包括语音),视频业务流,静态图片,2D和3D图形及动画,文本(包括简单文本类型和复杂文本类型,如可描述字体、颜色、大小),合成的音频流,元数据(Metadata)。
这样,我们就可以将这几种新业务的流量分为数据业务流(包括以上媒介类型的后5种,因为它们都是以数据流的形式来传输的)、视频业务流和音频业务流服务这3类。当然,就流量来说,前两者占了绝大多数。
PSS,IMS和MMS业务以数据业务流、视频业务流和音频业务流这样的流传输的机制提供服务。
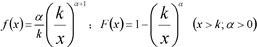
对于音频流而言,可以用符合截断式Pareto分布的ON/OFF模型来刻画:
(1)
(2)
该模型的具体参数为:
● 会话时段:形状参数α=1.6,均值m=2.4s的Pareto分布。
● 两次会话间的间歇时段:参数λ=36/0.16K的指数分布,K是一个用户建立的音频连接数的均值。
● 会话数传率:20kbit/s。
● 包大小:500bytes。
● ON时段:参数为0.2s的指数分布。
● OFF时段:一个确定值,均值m=2.4s。
作者:万志坤 王楠 来源:电信网技术
上一篇:高速铁路WCDMA网络覆盖分步建设策略
下一篇:WCDMA核心网加速向IP化演进


