- 易迪拓培训,专注于微波、射频、天线设计工程师的培养
WCDMA网络中的多媒体流量特性及流量模型分析
对于数据业务流,最近许多研究成果证实其流量特性适于用自相似(重尾)模型来描述。事实上,Pareto分布是最常用的描述自相似的数据业务流的重尾模型。
对于视频业务流,M. W. Garrett和W. Willinger详细评估了"星球大战"的视频流跟踪测试结果。他们发现视频业务流是自相似的,并且可以用类似于Pareto分布的重尾模型来描述。此外,Beran,Sherman等人证实视频流业务发生源应该用自相似模型来刻画。还有一些研究表明视频的帧长符合截断式Pareto分布。
从以上的分析可知,数据业务流、视频业务流和音频业务流服务这3类流量都可以用某种Pareto分布来表示。然而,我们仅仅知道前两者的流量占了绝大多数,并不知道这3类流量的确切比例。并且,我们也不知道与这3类流量相对应的分布函数的确切参数。更重要的是,与这3类流量相对应的业务的持续时段差别较大,这样持续时段差别较大的、不同分布的ON/OFF流量重合叠加的结果必然带来流量的突发性。所以,仅仅用一个简单的Pareto分布无法准确描述这样的多媒体流量。
实际上,在参考文献17和18中,作者证实M/Pareto过程可以作为一个实用的模型来描述累加的多媒体流量。本文认为,M/Pareto过程也能够近似地表示WCDMA R6新业务的流量。
具体地,M/Pareto流量由一些重合叠加的突发的流量组成。这些突发按照速率为λ的Poisson过程到达,一次突发中的包数到达的速率为r,包的流量本身符合衰减速率为γ的Pareto分布。
假设突发的流量为Pareto分布的随机变量X,其分布函数可表示为:
(3)
可知,X的均值为:rδγ/(γ-1),方差为无限大。
这样,在一次突发中所到达的包数的平均值为:rδγ/(γ-1)。
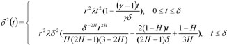
根据该M/Pareto模型,在时段t内,所到达的流量的平均值为:λtrδγ/(γ-1)。
根据该M/Pareto模型,在时段t内,所到达的流量的方差为:
(4)
这里,H=(3-γ)/2。
所以,该M/Pareto模型是一个渐进自相似的模型,其Hurst系数为H=(3-γ)/2。
3 新业务的合成流量对系统存储容量的要求
WCDMA R6新业务合成流量最重要的属性就是多媒体流在其总流量中占有绝大部分的比率。这对系统资源提出了更高的要求,尤其对网络设备的存储容量提出了新的要求。
本文在前面的叙述中已经阐述了多媒体流的流量特性是自相似的。而自相似的网络流量常常会造成网络丢包率和排队延迟增加,对网络所带来的实际影响是网络的交换设备和路由器的Buffer容量必须加大。
那么,是不是Buffer容量越大越好呢?答案是否定的。因为Buffer容量越大,所造成的延迟也越大,这对于实时多媒体通信而言是不利的(增加了延迟抖动),而且高延迟增加了QoS的复杂度,对优化网络性能是不利的。
所以,研究人员迫切需要有一个能够描述WCDMA R6系统存储容量的定量的模型。
当前,绝大多数移动通信网络流量方面的学术论文都将单个用户的流量模型自下而上地分为3个层次:会话级、连接级、包级,每一级的流量行为又都是用不同概率分布的、交替的ON/OFF周期来描述。与这自下而上的3个层次相对应的时间尺度是由小到大的,也就是说,移动通信网络的流量在不同时间尺度上都可以用ON/OFF模型来描述,具有相似的特点,而一个系统的自相似性正是指某种结构或过程的特征从不同的空间、时间尺度来看都是相似的。
其次,WCDMA R6允许一个用户并发地运行不同的应用程序,更何况,同一时刻都有许多用户共同使用WCDMA系统。这样,整个系统的合成流量就是由许多不同时间尺度的ON/OFF流量叠加重合而成,而相似过程的叠加重合正是形成自相似流量的主要原因。
另一方面,除了极少的WSS流量之外,PSS,IMS和MMS流量中,都是数据业务占绝大部分,都适于用自相似的流量模型来表征。
当然,无线网络的流量特性与有线网络的流量特性有所不同,但是实际上,Jiang和Trajkovic考察了CDPD无线网络的流量特性,验证其具有自相似性,而参考文献20根据Stanford大学83天无线局域网流量的测试结果进行分析,同样验证了无线局域网的流量具有自相似性。
综上所述,WCDMA R6新业务的合成流量应该是用自相似的模型来描述。
在自相似理论建立网络流量模型的成果中,最有影响的代表性参考文献是11,12。这两篇文献用分数布朗运动作为流量的近似模型,得出了一个有线网络数学模型,即Norros公式,能够刻画丢包率,Hurst系数,Buffer容量,平均输入率,链路容量之间的函数关系,该文触发了基于分形理论网络建模的大量研究,引出了许多建模方面的努力。这两篇论文使用分形布朗运动(FBM)作为流量的近似模型,也就是说,作者认为许许多多的流量在不同时间尺度上叠加重合的结果是使总的网络流量表现为一个分形布朗运动。
具体地,用归一化的分形布朗运动Z(t),t∈(+∞,-∞),来表征网络流量特性,其自相似Hurst系数为H。A(t)在物理上表示时刻t以前累计到达的流量。然后基于FBM过程和一个具有定长服务时间的无穷大缓存提出了一个网络存储模型:
(5)
(6)
V(t)为存储队列长度,它是一平稳过程,表示FBM存储模型的净输入,Z(t)即归一化的分形布朗运动。其中,m>0,为平均输入率,α>0,为方差系数(方差、均值比),C >0为通道传输速率(即服务率),且m<C,0.5<H<1是分形布朗运动Z(t)的Hurst系数。
这里,分形布朗运动Z(t)具有以下属性:Z(t)具有稳定增量;对于所有的t,有Z(0)=0,且E[Z(t)]=0;对于所有的t,有E[Z(t)2]=|t|2H;Z(t)具有连续的路径;Z(t)是高斯过程。
需要注意的是,在参考文献18中,作者指出M/Pareto过程的累加流量表现为分形高斯过程,而且这一结论也与Z(t)的属性相一致,也就是说,通过高斯过程Z(t),表示累加流量具有高斯特性。
然后,经过一系列的推导,得出了与存储容量相关的几个重要公式。本文认为这些公式同样适用于WCDMA R5新业务的流量分析。
公式7表现网络利用率ρ=m/C与系统服务率C(链路容量),Buffer大小x,Hurst系数H之间的关系:
(7)
用X表示参数为m,a,C和H的分形布朗运动存储过程,则有:
(8)
我们知道,一旦系统输入超过存储容量,后续的包将被丢弃,这样,我们就得到了丢包率的公式:
(9)
其中k(H)=HH(1-H)1-H,;PLR是丢包率;tu是物理时间单位。
将丢包率表示为PLR=P(X>x)=ε,就可以得到与存储容量相关的带宽分配公式:
(10)
当然,WCDMA与有线网络有所不同,上述公式只能近似地表示WCDMA网络的各种变量之间的相互关系。而且,各项参数有待根据实测结果作进一步的调整。
上一篇:高速铁路WCDMA网络覆盖分步建设策略
下一篇:WCDMA核心网加速向IP化演进


