- 易迪拓培训,专注于微波、射频、天线设计工程师的培养
LTE基础:无线传播模型之Okumura-Hata模型介绍
录入:edatop.com 点击:
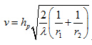
用此4个参数计算新参数v:

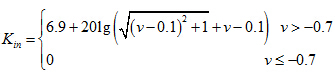
计算绕射损耗:

Ks——海(湖)混合路径校正因子
传播路径遇上水域时分两种情况考虑,如图所示:

定义修正因子为:
其中q = ds / d (%);ds为剖面上全程水体的长度。
选用公式(a)还是(b)的判定方法:
如果基站与移动台的剖面上,靠近基站200米内有水体,则:
,否则Ks=K(b)。
S( )——建筑物密度校正因子

α——建筑物密度,单位%;
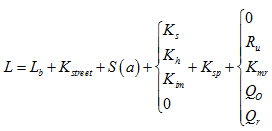
4. 各种修正因子的组合使用情况
总体路损:



