- 易迪拓培训,专注于微波、射频、天线设计工程师的培养
电调谐LC滤波器的研究与设计
1 引 言
通信对抗系统需要在复杂的信息环境下实现对信号的处理,需要滤波器实现信号的选择,滤波器主要应用于分离信号、抑制干扰,这是滤波器最广泛和最基本的应用。在这种应用中,他使所需要频率的信号顺利通过,对不需要的频率产生抑制。当前的通信系统随着实际的需要,要求滤波器低插损、低带内波动、高信号选择性,同时体积尽可能小,以满足灵敏度和动态范围的要求。电调滤波器具有体积小、工作频带宽的优点,可很好地抑制二阶组合信号,有着广阔的应用前景。
本文利用微波电路CAD设计软件,结合可靠的设计理论来进行电路设计,可以避开复杂的理论计算,极大地提高设计准确性和效率,有效缩短研制周期,降低成本。Agilent公司的ADS软件由于其强大的功能而广泛应用于射频微波电路的仿真和优化设计。
2 理论分析
100~250 MHz的电调滤波器可采用LC电调谐振滤器设计方法,改变变容二极管的可调电容进行电调滤波,根据带宽,插入损耗,幅度一致性的综合要求对滤波器进行优化设计。
LC电调谐滤波器实际上就是同步调谐滤波器,他由若干个中心频率调谐于W0的并联谐振回路组成之所以用并联形式,由于串联时偏置回路复杂,至少需要一个电阻且电感的杂散电容不易被吸收。选择同步调谐滤波器的一个关键要素在于这种滤波器能够以简单的电路形式实现电调谐,而其他形式的滤波器并非不能实现电调谐而是要实现电调谐的电路较复杂,且所需变容管种类多,其电特性也极不易同时满足需要。设计LC电调谐滤波器实际相当于设计谐振放大器,只是这里变容管成为电路的核心。现对变容管谐振电路略做讨论和分析。
2.1 变容二极管谐振回路
图1和图2给出2种基本变容二极管并联谐振回路。

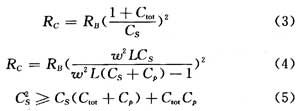
在图1所示电路中,调谐电压通过扼流电感和偏置电阻RB加到变容管上,串联电容CS使交流电路闭合,同时把变容管的负极与并联电感隔离开,从而使调谐电压能正确加载。电路中还并联了一个固定电容Cp。放在偏置电阻前的退耦电容容量很大,相当于交流接地,故在后续的讨论中可不予考虑。对高频交流信号而言,偏置电阻和串联电容是并联的。通过网络变换将其变换到并联谐振回路中,该等效并联电阻RC为:

可见由偏置电阻RB引起的阻性损耗RC是频率的函数。如果串联电容CS的值不是充分大,则有可能导致调谐电路的带宽和频率无关。

图2表明所示为调谐电压直接加载到变容二极管上时的情况,此时由偏置电阻RB产生的并联损耗电阻可以表示为:

该假设具备一般的代表意义,因为实际电路中,串联电容GS的值取通常取得尽可能大,而并联电容Cp取值则尽量小。这种电路中,偏置电阻RB的影响要比在图1所示电路大。所以一般说来,图1比图2所示电路更为可取。但在希望通过偏置电阻RB增加谐振电路在频率高端处的衰减时例外。
2.2 变容管谐振回路中的并联和串联电容
电容通常和变容二极管串联,为了闭合交流电路,同时考虑到加直流电压的便利,一般把变容管的一端和电路其他部分隔开,使调谐电压能直接加在二极管上,串联电容CS应尽量大以便有效电容变化不受影响,然而在一些情况下却不是如此,例如在接收机的振荡电路中,中频和接收频率处于同一数量级时,串联电容的影响必需考虑。在变容管结电容Ctot串联一个电容CS后,调谐电容值减少为:

此时,调谐电容的有效Q值增加到(Q是变容管的品质因素)

有效电容变化比减少为:

式(8)中Cmax,Cmin分别是变容二极管的最大结电容值和最小结电容值。另一方面,由于串联电容分压,加在变容二极管上的交流电压幅度减小,这样调谐电压的下限值变小,必然是变容二极管的最大结电容Cmax,可用电容变化比就更高,因此串联电容产生的影响要比上式估计值略低。
图1到图2所示的并联电容Cp总是存在的。因为电感线圈匝间电容是不可避免的,每个电感均有其自电容,把这个自电容等效为并联的电容Cp,且认为是无耗的,则总的调谐电容值升高。如果CS足够大,可以忽略他的影响,则得到有效调谐电容为:

由式(11)不难看出,即使并联电容相Cp当小,也能引起有效电容变比的明显下降。因此设计电路时就必须使电感的自电容尽可能地小。
2.3 变容管谐振回路的调谐范围
考虑图1所示变容管谐振电路,不难看出回路的频率调谐范围依赖于变容管的有效电容变比和电路中并、串联电容的大小。
经过简单的计算可得到如下调谐比表达式:

在多数情况下,串联电容取值足够大,他的影响可以忽略。上式可以简化为:

来源:《现代电子技术》
上一篇:高频电源变压器磁芯的设计原理
下一篇:柔性电缆的型号


