- 易迪拓培训,专注于微波、射频、天线设计工程师的培养
一种2-1-1型MASH∑ - △调制器的系统设计
2.4运放的噪声
运算放大器的噪声主要包括热噪声、1/f噪声等,它的影响就相当于一个噪声电压叠加在运放的输入端。在低通∑-△调制器中,1/f噪声和直流失调可以由自动调零或chop等技术很好地消除掉;在带通∑-△调制器中,它们的影响并不重要。因此,运放的等效输入噪声v2n在带内可以近似地认为是白色的,它可以在时钟φ2(见图1)由晶体管级仿真得到。其行为级模型如图5。该噪声等效到积分器前需乘以系数b(b=Cs/Cf),见图6。

2.5运放有限增益
理想情况下,积分器的直流增益是无穷大,但是由于受模拟器件本身的限制,积分器的直流增益是有限的,进而导致积分器前一次的输出值只有一部分被叠加到了新的采样值上。考虑积分器这种泄露现象以后,它的传输函数可以表示为:

其SIMULINK创建的模型如图7。运放有限增益对积分器的影响需要与运放有限带宽和摆率等因素同时考虑。

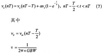
2.6 运放有限带宽和摆率
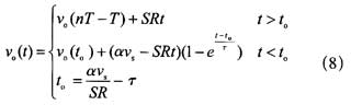
运放的有限带宽和摆率对积分器的影响是相互关联的,可以看作是非线性增益。需要分两种情况考虑。
一种是假设运放的摆率很大,那么积分时间只与运放带宽有关,在图1所示的SC积分器中,第n个积分周期的输出可以表示为:

GBW是当运放负载为Cf时的单位增益带宽。
当摆率比输入信号最大变化率小时,积分器会产生失真。这种情况下可用式(8)表示。有限带宽和摆率的影响可编写为MATLAB函数形式,在系统仿真时作为一个模块调用。

2.7运放的摆幅
对运放摆幅的建模比较简单,可直接调用SIMULINK中的saturation模块,如图7。

3 2-1-1型MASH调制器结构
有效位数ENOB是评估AD转换器精度的重要技术指标。ENOB与动态范围DR的关系为:

因此,要想得到高分辨率的转换器,必须有足够大的动态范围。调制器动态范围与调制器阶数L,过采样率OSR和量化器位数B的关系为:

由上式可知,增加调制器量化位数B可以增加动态范围,但是多位量化器的非线性提高了系统对元器件匹配精度的要求,即使采用一些自适应算法可以降低这种非线性的影响,但是这又增加了系统的实现难度。增加过采样率OSR也能提高动态范围,但OSR的提高受工艺水平限制。因此,选择了合理的OSR后,再通过提高阶数L进一步提高动态范围。高阶∑-△ADC主要有两种拓扑结构:单环和MASH结构。单环三阶以上的∑-△调制器会存在稳定性问题,尽管已有一些技术可以解决该问题,但是大大增加了系统的复杂性。MASH结构是采用了多个稳定的低阶回路级联而成,不存在稳定性的问题,是比较流行的一种做法。
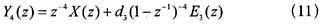
图8为4阶2-1-1MASH结构,前一级量化噪声经过整形后作为下一级调制器的输入信号。理想情况下,当系数满足表1时,经过噪声抵消逻辑后,第一级和第二级的量化噪声被抵消,输出信号只与最后一级的量化噪声有关。最后输出的表达式为:

级联结构的动态范围DR在式(10)理想值的基础上减小20log(d3)dB。

作者:杨东泽,吴金 来源:《电子与封装》
上一篇:电源高位跟踪系统的设计与实现
下一篇:光速接入未来


