- 易迪拓培训,专注于微波、射频、天线设计工程师的培养
一种2-1-1型MASH∑ - △调制器的系统设计
1 引言
片上系统(System on Chip)已经成为集成电路设计发展的必然趋势。在片上系统中,模数转换器作为模拟世界和数字世界的桥梁扮演着重要的角色。随着CMOS工艺的进步,关键尺寸不断缩小,这使得数字部分的电路可以做到更低的功耗和更小的面积,但是模拟部分的电路却未必如此。更低的工作电压意味着需要更大的功耗和更复杂的电路结构来保证运算放大器有相应的动态范围。因此,很多SOC产品采用的工艺升级以后,DSP部分的成本相应减小了,但是ASP部分的成本并没有减小。
20世纪60年代面世的∑-△ADC利用过采样和噪声整形技术,放宽了对模拟电路的要求,通过速度换取精度,减小了模拟电路的规模,更有利于与先进的CMOS工艺集成。目前,随着开关电容技术的成熟,离散时间∑-△ADC已在高分辨率、中低速的场合得到广泛应用。
因为∑-△调制器的采样时钟周期和信号周期相差较大,即过采样率较高和电路非线性的本质特征,所以即便使用目前配置较高的计算机,对一个高精度∑-△调制器的晶体管级仿真也需要相当长的时间,这对设计者为了得到理想信噪比而对电路进行结构改进和性能优化是十分不利的。业界对∑-△ADC提出了很多种行为级的仿真方法,其中较为流行的方法是采用MATLAB中的SIMULINK工具箱。它能够对一些重要的非理想因素进行建模,使设计者可以在时域很好地预估∑-△调制器的性能,大大提高了设计效率。
首先,本文讨论了开关电容∑-△调制器几种重要的非理想因素和行为级模型。其次,本文以2-1-1结构∑-△MASH调制器为例,介绍了行为级设计方法。
2 ∑-△调制器非理想因素建模
在∑-△调制器中,除了量化噪声外,电路中还有其他非理想因素影响系统的信噪比。通常需要考虑的非理想因素有时钟抖动、开关的非线性、KT/C噪声和运算放大器的非理想参数(等效输入噪声、有限带宽、有限增益、有限压摆率和运放有限摆幅)。下面以图1开关电容(SC)1阶∑-△调制器为例,对这些非理想因素做简要说明,并给出用SIMULINK构造的模型。
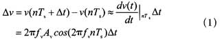
2.1时钟抖动
在实际电路中,采样时钟大多源自晶振或锁相环,他们都存在一定的相位噪声,会造成采样时刻的不确定性,如图2,这种现象就是时钟抖动。时钟抖动对电路的影响与电路本身的结构和阶数无关。在分析时钟抖动影响时,只需考察它对输入信号采样的影响。

对一个幅度为Av,频率为fv的正弦输入信号,它由时钟抖动引起的误差为:

假设△t是服从标准差为δ的正态高斯分布,其SIMULINK模型可表示如图3。
2.2 开关引起的非线性
开关的非线性可由其非线性电阻模型建模。假设开关由互补CMOS组成,那么它的等效跨导可由下式表示:

由上式引起的采样误差与输入信号有关,因此会产生非线性。这种非线性可用MATLAB函数表示,在系统仿真时作为一个模块调用。
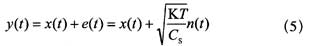
2.3开关的热噪声
热噪声是由载流子运动造成的。假设开关的等效电阻为Ron,那么输入信号由开关网络产生的噪声功率e2T为:

式中K为波尔兹曼常数,T为绝对温度,该开关热噪声叠加在输入信号上,可用下式表示:

上式中n(t)服从高斯正态分布。该行为级模型如图4。

积分器有两个输入开关,一个用于输入信号的采样,一个用于反馈信号的采样,在行为级仿真时要同时考虑这两个开关的热噪声。
作者:杨东泽,吴金 来源:《电子与封装》
上一篇:电源高位跟踪系统的设计与实现
下一篇:光速接入未来


