- 易迪拓培训,专注于微波、射频、天线设计工程师的培养
集成运算放大器构成交流放大电路的分析和设计
1.2.1 单电源同相输入式交流放大电路
图3是使用单电源的同相输入式交流放大电路。电源Vcc通过R1和R2分压,使运放同相输入端电位
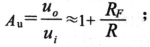
由于C隔直流,使RF引入直流全负反馈。所以,静态时运放输出端的电压V0=V-≈V+=+Vcc/2;C通交流,使RF引入交流部分负反馈,是电压串联负反馈。放大电路的电压增益为
放大电路的输入电阻Ri=R1/R2/rif≈R1/R2,放大电路的输出电阻R0=r0f≈0。

1.2.2 单电源反相输入式交流放大电路
图4是使用单电源的反相输入式交流放大电路。电源V cc通过R1和R 2分压,使运放同相输入端电位为了避免电源的纹波电压对V+电位的干扰,可以在R2两端并联滤波电容C3,消除谐振;由于C1隔直流,使RF引入直流全负反馈。所以,静态时,运放输出端的电压V0=V-≈V+=+Vcc/2;C1通交流,使RF引入交流部分负反馈,是电压并联负反馈。放大电路的电压增益为放大电路的输入电阻Ri≈R,放大电路的输出电阻R0=r0f≈0。
2 运放交流放大电路的设计
在设计单级运放交流放大电路时,
(1)选择能够满足使用要求的集成运算放大器。在采用电容耦合的交流放大电路中,由于电容隔直流,交流放大电路输出的温度漂移电压很小。因此,对集成运放漂移性能的要求可以降低,主要从转换速率、增益带宽、噪声等方面来考虑选用集成运放。对脉冲信号、宽频带交流信号和视频信号等,应选用转换速率较高、增益带宽至少是最高工作频率10倍的集成运放。对音质要求比较高的音频交流放大电路中常采用高速低噪声的集成运放,如双运放的4558、NE5532等。
(2)确定采用双电源供电还是单电源供电。在使用条件许可的情况下,运放交流放大电路尽量采用双电源供电方式,以增大线性动态范围。当集成运放双电源使用时,正、负电源电压一般要对称。且电源电压不要超过使用极限,电源滤波要好。为了消除电源内阻引起的低频自激,常常在正、负电源接线与地之间分别加0.01~0.1 μF的电容退耦。使用单电源供电时,运放同相输入端电位要小于该运放的最大共模输入电压。
(3)确定输入信号是同相输入还是反相输入。若要求放大电路的输入电阻比较大,应采用同相输入式交流放大电路。因为反相输入式交流放大电路输入电阻的提高会影响电压增益。由图2或图4相关计算式可知,增大反相输入式交流放大电路输入电阻时,该电路电压增益将减小,且电压增益也会受信号源内阻的影响。所以在设计反相输入式交流放大电路时,有时输入电阻和电压增益的选择难以兼顾。而采用图1或图3同相输入式交流放大电路时,图1中的R1偏置电阻值适当增大,或者图3中的R1和R2分压电阻值适当增大,就能够提高放大电路的输入电阻,而对电压增益无影响。另外,为了有效地提高图3放大电路的输入电阻,可以对电路做一些改进,改进电路如图5所示。

该放大电路输入电阻Ri≈R3,当R3值 图5见原稿选择大时,放大电路输入电阻Ri值就大。所以明显地提高了放大电路的输入电阻。
(4)确定交流放大电路电压增益。单级运放交流放大电路的电压增益Au通常不要超过100倍(40dB)。过高的电压增益不但会使放大电路的通带下降,也容易感应高频噪声或产生自激振荡。如果要得到一个放大倍数比较大的放大器,可用两级等增益的运放电路或者多级等增益的运放电路来实现。
(5)确定交流放大电路中的电阻值。一般应用中阻值在1~100kΩ之间比较合适。高速的应用中阻值在100Ω~1k Ω之间,但会增大电源的消耗。便携设计中阻值在1~10M Ω之间,但会增大系统噪声。先设定图中运放反向输入端R电阻值,根据相关电路的电压增益计算式,再估算出反馈电阻RF的值。最好采用金属膜电阻,以减小内噪声。
(6)确定放大电路中的电容值。信号耦合电容的大小决定放大电路的低频特性。根据交流放大电路信号频率的高低选择耦合电容值。若放大的是低频交流信号,如音频信号,耦合电容值可选择1~22 μF之间;若放大的是高频交流信号,耦合电容值可选择1000pF~0.1 μ F之间。同相输入式交流放大电路引入直流全反馈的隔直流电容值由C=1/20πfR式估算。式中f是输入信号的最低频率。音频信号的最低频率为20Hz,当R≥1k Ω时,经过上式估算,选择C=100 μF时,已经能够满足要求。滤波电容值选择100~1000 μ F之间。
3 结束语
在引入深度交流负反馈的情况下,运放交流放大电路的电压增益、输入电阻等的大小仅与集成运放外接的电阻有关。因此,相对于三极管交流放大电路而言,运放交流放大电路的设计更方便,电路参数的一致性也较好。
上一篇:视频会议系统多画面软件设计与分析
下一篇:烽火网络基于电信级以太网的OLT汇聚方案


