- 易迪拓培训,专注于微波、射频、天线设计工程师的培养
基于绝热逻辑的低功耗乘法器电路设计
0 引言
过去的40年中,MOS器件尺寸的持续缩小一直是促进半导体工业发展的动力。人们可以在越来越小的芯片上实现越来越复杂的功能,并且芯片的价格不断下降,使得各种便携式产品如笔记本电脑、笔迹识别仪、语音识别器等相继问世。这些设备大多依靠电池供电,电池的寿命是有限的,而目前的镍镉电池最多能提供的电能只有26 W/pound。而且,随着芯片集成度的增加,单位面积上消耗的功率也随之增加,这不得不增加为芯片散热的成本。因而,如文献中所述,电路的低功耗已成为电路设计的重要指标。
从已有的研究成果可知,电路中的功率消耗源主要有以下几种:由逻辑转换引起的逻辑门对负载电容充、放电引起的功率消耗;由逻辑门中瞬时短路电流引起的功率消耗;由器件的漏电流引起的消耗,并且每引进一次新的制造技术会导致漏电流20倍的增加,漏电流引起的消耗已经成为功率消耗的主要因素。目前降低功耗的方法主要有:减小电源电压、调整晶体管尺寸、采用并行和流水线的系统结构、利用睡眠模式、采用绝热逻辑电路等。其中,能量回收逻辑就是基于绝热计算发展起来的一种低功耗设计技术。这里简单介绍一种使用单相正弦电源时钟的能量回收逻辑,并用这种原理电路设计了一个两位的数字乘法器电路,与静态CMOS数字乘法器相比,这种能量回收乘法器能够大大降低功率消耗。
1 单相正弦电源时钟能量回收逻辑电路工作原理
以反相器为例说明这种电路的工作原理,如图1所示。M1和M2的连接方式与传统的静态CMOS逻辑电路相似。不同的是电源不再是恒定不变的,而是用一个正弦信号代替,这个信号同时起到同步电路工作的作用,因此又称作电源时钟。M3和M4连接成二极管的形式用来控制充放电的路径。

当输入信号B为逻辑"0"时,M1导通,M2截止。正弦信号正半周时,通过M3和M1向负载电容充电,一旦电容充电到最大值,M3能够阻止电容向输入正弦时钟信号放电,输出保持在高电平不变。当输入信号B为逻辑"1"时,M1截止,M2导通。正弦信号负半周时,负载电容通过M2和M4向输入正弦时钟信号放电,一旦电容放电到最小值,M4能够阻止输入正弦时钟信号向电容充电,输出保持为低电平不变。
2 基于单相能量回收电路的乘法器电路设计
2.1 基于单相能量回收电路的乘法器
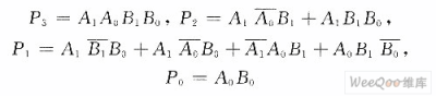
两位乘法器能够实现2位二进制数的乘法运算,设A1A0,B1B0为乘数和被乘数,P3P2P1P0为乘法运算得到的积,由卡诺图(见图2)得到两位乘法器的输出逻辑函数表达式分别为:

为了能用基本的与非门、或非门和异或门电路实现乘法器,上式可以通过逻辑运算变换为:

来源:维库开发网
上一篇:电子管极间磁极(短路)检测
下一篇:一种接收前端三级低噪声放大器的设计


