- 易迪拓培训,专注于微波、射频、天线设计工程师的培养
一种接收前端三级低噪声放大器的设计
0 引言
在现代雷达接收机中,应用最广的结构是超外差结构。在该结构中,单片系统往往需要片外滤波器去除镜像信号,例如SAW滤波器,因而给系统的集成度带来影响。为了达到一定的镜像抑制比,而又不使用片外滤波器,通常使用镜像抑制混频器能提供60 dB左右的抑制度。但现代雷达接收机至少需要80 dB的抑制度,这就给镜像抑制混频器的设计增加了难度。
为解决该问题,研究工作主要集中在镜像抑制LNA的设计上。从文献中,可以看到通过LNA与陷波滤波器(notch filter)的连接,其单片LNA的抑制度分别达到20 dB和75 dB。本文结合雷达接收机中LNA的指标,通过设计电路结构提高抑制度,与后级的镜像抑制混频器连接达到了较高的镜像抑制比,提高了整个雷达接收机对镜像信号的抑制度。
1 陷波滤波器
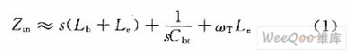
在本文中,对低噪声放大器的要求是工作频段为S频段,噪声系数FN为2~3 dB,功率增益在30 dB以上,输出1 dB压缩点不低于10dBm,工作电压为5 v。针对以上要求,采用的LNA基本结构为发射极电感负反馈。式(1)表明,选择适当的感值就能使端口得到匹配,最重要的是,这种结构在信号的通道上避免了噪声电阻,大大降低了噪声系数,如图1所示。


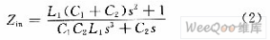
陷波滤波器分为有源和无源2种结构,为减少设计的复杂度,在镜像抑制LNA设计中,采用无源结构,如图2所示,其中包括了C1,C2和L1 3个无源元件(L1中寄生电阻值为RL1)。
![]()
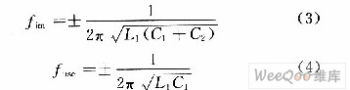
抑制的镜像频率和通过的信号频率分别为:

滤波器的Q值为:
![]()

2 LNA设计分析
LNA的性能很大程度上决定了雷达接收机的性能指标。为了满足设计指标中的功率增益,实际的LNA采用三级级联的方式设计。

式中:Fn,GAn,(IIP3)n分别为LNA每级的噪声系数(这里n=1,2,3),功率增益和三阶交调参数。
从式(6)、式(7)不难得出:
(1)降低模块的噪声系数,主要是降低前级电路的噪声系数;
(2)为了降低后续电路的噪声对整个模块的噪声影响,前级模块需要提供适当的增益;
(3)要提高模块的线性度,除了提高各级电路的线性度之外,各级的增益不能太高。
为了满足整个LNA的噪声要求,第一级放大器应主要面向优化噪声设计,以得到最小的噪声系数,整个系统的噪声系数基本取决于第一级的噪声系数。第二级放大器应在面向噪声优化的同时,提供一定的增益和线性度,以避免整个放大器的增益过低。第三级放大器主要面向线性度的优化,通过诸如增大发射极电感的大小和晶体管偏置电流等手段,可以有效地提高1 dB功率压缩点输出功率,但是增益会受到一定的影响。
基本放大器采用共源共栅结构,既可以增加输入/输出的隔离度,又降低了Ld1和M2间的Miller效应。同时,M1与M2之间接入电感Ld1,有助于改善放大器的增益和噪声情况。
来源:维库开发网
上一篇:基于绝热逻辑的低功耗乘法器电路设计
下一篇:连续相位QAM调制原理


