- 易迪拓培训,专注于微波、射频、天线设计工程师的培养
无输出变压器OTL电路的应用
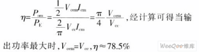
2.4.3 效率

2.4.4 管耗
由能量守恒定律可知,管耗

所以:
(1)当输入信号为零时,管耗也为零;
(2)当输入信号较小时,管耗也较小,但随输入信号的增加而增加;
(3)当输入信号快速增大时,由于上式后项比前项增加得快,所以管耗又较小。
综上所述,当输入信号较大和较小时,管耗均较小。即最大管耗并不发生在电路有最大输出功率时。当电路有最大输出功率时,管耗仅为

处,此时Pcm≈0.4Pom。故大家常说的最大管耗Pcm≈0.2Pom,实际是单管最大管耗。绘制输出功率、管耗和电源功率关系图4如示。

3 容易出现的问题
3.1 错误理解几种功率之间的关系
某些人只是牢牢地记住了教科书上常用计算公式,即
最大不失真输出功率
而没有真正理解其内涵,应用中不加选择地套用公式,从而得出非常荒谬的结论。例如:
某收音机的功放电路为甲乙类推挽功放电路,电源电压为Vcc=6V,负载为RL=8Ω,输出变压器匝数比n=2.5,求最大输出功率、直流电源提供的功率和管耗。有人这样考虑:

可是显然此时的管耗与输出功率之和约为432mW,与电源提供的460mW功率相差甚远,这是为什么呢?这里其实犯了两个错误:(1)电路实际应用两个三极管,求解时却按单管处理了;(2)电路有最大输出功率时,管耗却并非最大。因此正确的答案应为

3.2 忽视电路结构的特殊性
由于该电路使用了一些具有特殊用途的元件,在实际使用过程中会引起一些容易被忽略的问题,使维修陷入困境。例如,目前通用的功放集成块,包括电视机上的场输出集成块,为了减小功耗,提高电路的可靠性,都利用外围元件组成了自举升压电路(又称为泵电源,自举电容又 称为场逆程电容)。随着使用年限的增加,自举电容会出现容量减小、漏电等现象。根据前面的分析我们知道,当自举电容容量下降幅度过大时,其容抗就会变大, 这样开机瞬间的冲击电流就会更多地从功放管T1流过,将其烧坏;而当自举电容漏电时,其容抗变小,这样开机瞬间,中点电位就会远远大于使激励管进入饱和状态,功放管T2的基极电位便接近于O,使该管流过较大的电流将其烧毁。即无论自举电容漏电还是容量下降都可能烧毁功放集成块。如果对此不 加判断就更换集成块,则会造成连续损坏集成块的现象。曾有人维修昆仑S511彩电水平一条亮线故障时,按照一般思路在查场输出电容、负载、偏转线圈、电源 电压均正常后,便认为是集成块损坏,然而换上新的集成块开机后,集成块却再次被烧坏。最后经过多次排查才发现场自举电容漏电,换之故障得以排除。
4 结语
通过上述的分析,希望大家在使用0TL电路时,能够更加熟练掌握该电路的基本组成及其工作原理,深刻理解电路中各元器件的作用,并能正确计算输出功率、管耗、效率等参数。
来源:维库开发网
上一篇:以IP成就移动业务承载未来
下一篇:小巧的数字显示频率计、转速表


