- 易迪拓培训,专注于微波、射频、天线设计工程师的培养
LD0、QLDO、VLDO的设计原理及测试
0 引言
近年来低压差稳压器(LD0,Low Dropout Regulator)、准低压差稳压器(QLDO,Quasi Low Dropout Regulator)和超低压差稳压器(VLD0,Very Low Dropout Regulator)竞相问世,并在低压供电领域获得推广应用。
1 LD0、QLDO的设计原理
下面首先介绍普通串联调整式线性集成稳压器的基本原理,然后分别阐述低压差稳压器、准低压差集成稳压器的基本原理,从中比较它们的显著特点。
1.1 普通线性集成稳压器的设计原理
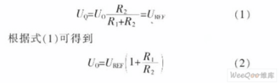
普通线性集成稳压器亦称NPN型稳压器,其原理如图1所示。典型产品有7800系列三端固定式线性集成稳压器和LM317系列三端可调式线性集 成稳压器。它们都属丁NPN型稳压器,即串联调整管是由NPN型晶体管VT2、VT3构成的达林顿管。VT1为驱动管,它采用PNP型晶体管。U1为输入 电压,U0为输出电压。R1和R2为取样电阻,取样电压U0加到误差放大器的 同相输入端,UQ与加在反相输入端的基准电压UREF相比较,二者的差值经误差放大器放大后产生误差电压Ur,用来调节串联调整管的压降,使输出电压达到 稳定。举例说明,当输出电压U0降低时,UQ和Ur均降低,因驱动电流增大,故调整管的压降减小,使输出电压升高,最终使U0维持稳定。由于反馈环路总是 试图使误差放大器两个输入端的电位相等,即UQ=UREF,因此

普通集成稳压器的主要缺点是输入-输出压差高。为了维持稳压器的正常工作,要求最低输入-输出压差(U1-U0)不得低于2 V,一般取4 V以上为宜。这是造成调整管功耗大的主要原因。由图l可见,输入-输出压差的计算公式为
![]()
式中:UBE为VT2、VT3的发射结电压(这里假定二者相等),冈此总发射结电压为2UBE;
UCES为PNP型晶体管BTl的集电极-发射极饱和压降。

1.2 LD0的设计原理
LD0的设计原理如图2所示。LDO与普通线性集成稳压器的主要区别是采用PNP型功率管作调整管,并且不需要驱动管。其输入-输出压差的计算公式为

来源:维库开发网
上一篇:评估数字通信链路质量的方法--眼
测试
下一篇:无线局域网产品的测试及认证


