- 易迪拓培训,专注于微波、射频、天线设计工程师的培养
二阶有源低通滤波电路的设计与分析
摘要 设计一种压控电压源型二阶有源低通滤波电路,并利用Multisim10仿真软件对电路的频率特性、特征参量等进行了仿真分析,仿真结果与理论设计一致,为有源滤波器的电路设计提供了EDA手段和依据。
关键词 二阶有源低通滤波器;电路设计自动化;仿真分析;Multisim10
滤波器是一种使用信号通过而同时抑制无用频率信号的电子装置,在信息处理、数据传送和抑制干扰等自动控制、通信及其它电子系统中应用广泛。滤波一般可分为有源滤波和无源滤波,有源滤波可以使幅频特性比较陡峭,而无源滤波设计简单易行,但幅频特性不如有源滤波器,而且体积较大。从滤波器阶数可分为一阶和高阶,阶数越高,幅频特性越陡峭。高阶滤波器通常可由一阶和二阶滤波器级联而成。采用集成运放构成的RC有源滤波器具有输入阻抗高,输出阻抗低,可提供一定增益,截止频率可调等特点。压控电压源型二阶低通滤波电路是有源滤波电路的重要一种,适合作为多级放大器的级联。本文根据实际要求设计一种压控电压源型二阶有源低通滤波电路,采用EDA仿真软件Multisim1O对压控电压源型二阶有源低通滤波电路进行仿真分析、调试,从而实现电路的优化设计。
1 设计分析
1.1 二阶有源滤波器的典型结构
二阶有源滤波器的典型结构如图1所示。其中,Y1~Y5为导纳,考虑到UP=UN,根据KCL可求得


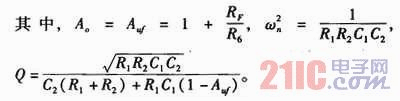
式(1)是二阶压控电压源滤波器传递函数的一般表达式,式中,Auf=1+Rf/R6。只要适当选择Yi,1≤i≤5,就可以构成低通、高通、带通等有源滤波器。
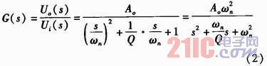
1.2 二阶有源低通滤波器特性分析
设Y1=1/R1,Y2=sC1,Y3=O,Y4=1/R2,Y5=sC2,将其代入式(1)中,得到压控电压源型二阶有源低通滤波器的传递函数为


式(2)为二阶低通滤波器传递函数的典型表达式。其中,ωn为特征角频率,Q称为等效品质因数。
2 二阶有源低通滤波器的设计
2.1 设计要求
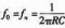
设计一个压控电压源型二阶有源低通滤波电路,要求通带截止频率
fo=100 kHz,等效品质因数Q=1,试确定电路中有关元件的参数值。
2.2 选择运放
设计要求的截止频率较高,因此要求运放的频带较宽,选用通频带较宽的运放,本例选用运放3554AM,带宽为19 MHz,适合用于波形发生电路、脉冲放大电路等。输出电流,达到100 mA,精度高,满足设计要求。
作者:桂静宜 黄石理工学院 来源:现代电子技术
上一篇:高铁网络视频监控系统中的关键技术解析
下一篇:基于功率分配的H.264空时编码方案


