- 易迪拓培训,专注于微波、射频、天线设计工程师的培养
基于中颖8位微控制器的电容式触摸按键控制器
前言
在需要用户界面的应用方案中,传统的机电开关正在被电容式触摸感应控制所替代。
Sino wealth已经开发了一套触摸感应软件,使得任意一款8位的中颖微控制器都可以作为一个电容式触摸按键控制器使用。通过对由一个电阻和触摸电极电容组成的RC充放电时间的控制,该触摸感应软件可以检测到人手的触摸。由于电极电容的改变,导致的RC充放电时间的改变,能够被检测出来,然后经过滤波等,最终通过专用的I/O端口,或者I2C/SPI接口发送给主机系统。该软件库所需的元器件BOM表,成本低廉,因为每个通道只需要两个电阻就可以实现触摸检测功能
RC感应原理
RC采样原理就是通过测量触摸电极电容的微小变化,来感知人体对电容式触摸感应器(按键、滚轮或者滑条)的触摸。
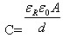
电极电容(C)通过一个固定的电阻(R)周期性地充放电。 电容值取决于以下几个参数:电极面积(A),绝缘体相对介电常数,空气相对湿度,以及两个电极之间的距离(d)。电容值可由下列公式得出:


图1:RC电压检测。
固定电压施加在 , 的电压随着电容值的变化而相应增加或者降低, 如图2所示。

图2:测量充电时间。
通过计算VOUT的电压达到阀值VTH所需要的充电时间(TC),来得到电容值(C)。 在触摸感应应用中,电容值(C)由两部分组成:固定电容(电极电容,CX)和当人手接触或者靠近电极时,由人手带来的电容(感应电容,CT)。电极电容应该尽可能的小,以保证检测到人手触摸。因为通常人手触摸与否,带来的电容变化一般就是几个pF(通常5pF)。 利用该原理,就可以检测到手指是否触摸了电极。

图3:触摸感应。
这就是用于检测人手触摸的触摸感应软件中感应层所采用的基本原理。
硬件实现
图4显示了一个实现的实例。由R1,R2以及电容电极(CX)和手指电容(CT)并联的电容(大约5pF) 形成一个RC网络,通过对该RC网络充放电时间的测量,可以检测到人手的触摸。 所有电极共享一个"负载I/O"引脚。电阻R1和R2尽量靠近MCU放置。电容R1(阻值在几百欧到几兆欧之间)是主要电容,用于调节触摸检测的灵敏度。电容R2(10KΩ)是可选的,用于减少对噪声影响。

图4:电容触摸感应实现实例。
来源:维库开发网


