- 易迪拓培训,专注于微波、射频、天线设计工程师的培养
CMMB接收机中的载波频偏跟踪估计
0 引言
CMMB(China Mobile Multimedia Broadcasting,中国移动多媒体广播)是国家广电总局于2006年10月24日颁布的移动多媒体广播行业标准。该标准规定了广播业务频率范围内,移动多媒体广播系统广播信道的帧结构、信道编码和调制方式。CMMB系统的物理层采用正交频分复用(OFDM)调制方式,该方式可有效抵抗由多径效应所引起的频率选择性衰落,但对频偏却十分敏感。频偏会破坏OFDM系统的正交性。从而引起载波间干扰(ICI),因此,接收机需要对载波频偏进行估计并纠正。为此,本文针对CMMB接收机解调芯片的小数倍子载波跟踪算法进行了分析。
1 CMMB信号模型及载波频偏分析
在CMMB系统中,一个OFDM符号可由IFFT产生。时域中的OFDM符号可用下式表示:

其中,X(k)是第k个子载波正交幅度调制(QAM)或相移键控(PSK)符号,N是OFDM符号子载波数,Ts为符号周期,1/Ts是子载波频率间隔。在CMMB接收端,对AWGN信道下变频后的信号r(m)可以表达为:
![]()
其中,△f是归一化到子载波间隔(1/Ts)后的频偏,△ψ为相位偏差,n(m)是AWGN。频偏表示为△f=△fi+△ff,△fi是△f小数部分四舍五入后的整数,△ff∈[-0.5,0.5]是其小数部分。本文所要提出的是在接收系统进入跟踪阶段后的小数倍频偏△f的估计算法。
2 小数倍子载波频偏估计
频偏分为整数倍频偏和小数倍频偏,接收机首先在时域中对小数倍子载波频偏进行估计,以恢复子载波间正交性,在此基础上再进行FFT变化后到频域中进行整数倍子载波频偏估计。至此系统就可完成频偏捕获,然后进入跟踪阶段。本阶段再由导频处理模块进行小数倍子载波频偏跟踪估计,本文主要对导频处理模块进行研究。图1所示是粗载波频偏估计及恢复结构图。

2.1 算法分析及硬件实现
由于OFDM系统中同一个时隙(timeslot)内的各个OFDM符号的连续导频的内容和其所处的子载波位置都是相同的,故可利用FFT之后前后相邻的两个OFDM符号内的连续导频来进行频偏估计。
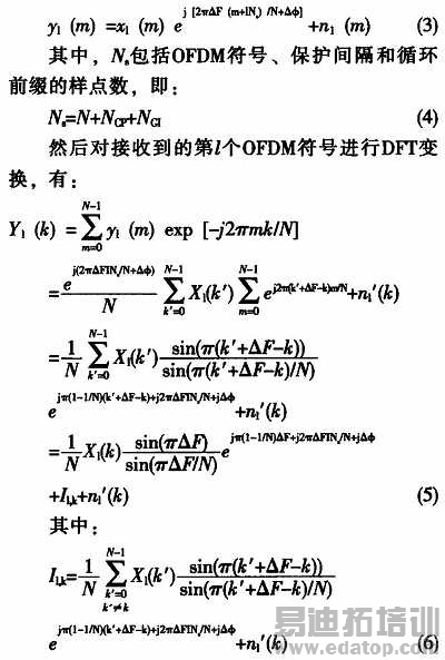
现在对相邻的两个频域OFDM符号(即第l和第l+1个符号)进行分析。通常第l个OFDM符号可以表示为:

作者:柳中原 于忠臣 来源:国外电子元器件
上一篇:CW共享的严重性
下一篇:嵌入式系统掉电保护的设计方案


