- 易迪拓培训,专注于微波、射频、天线设计工程师的培养
宽带射频同轴变换器的匹配电路设计
录入:edatop.com 点击:
其中:
当E为90o时,可得:
由于特征阻抗为实数,ZLZg*为实数时,方程才有解或才能完全匹配。当ZL和Zg为实数时,就是常用的λ/4阻抗变换。
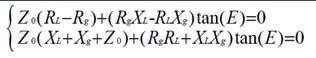
当E不等于900,利用实部与虚部都等于零得方程组:
整理化简得:
公式(3)说明,不是任意两个复阻抗都可以完全匹配,必须满足特征阻抗为正实数;可以并联或串联电抗元件,使两个不可能完全匹配的复阻抗完全匹配。
通用模型是结合理想模型和同轴线分析建立,如图4所示。把1:N同轴变换器等效一根同轴线,利用同轴线的分析结果,更容易获得特征阻抗和电长度参数。
特别对于利用同轴变换器设计的匹配电路,可以简化设计步骤,减少工作量。
2 宽带匹配电路的设计
通过对同轴变换器的分析,可以通过调谐特征阻抗和电长度完成阻抗匹配。
但是实际同轴线的特征阻抗是有一定规格的,不是任意的,而且电长度又是随频率变化的,所以采用同轴变换器和集总元件联合实现宽带匹配的方式。
2.1.集总元件匹配电路
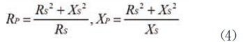
复阻抗可以用电阻与电抗串联表示,也可以用电阻与电抗并联表示,这两种表示的等效电路如图5所示。
它们都是指同一个复数,其转换关系为:


