- 易迪拓培训,专注于微波、射频、天线设计工程师的培养
宽带射频同轴变换器的匹配电路设计
公式4表明,电阻并联电抗可以减小其复阻抗的实部,再串联电抗抵消其虚部,就可以实现Rp到RS阻抗匹配。所需的电抗值可以通过表达式4计算,且Xp与XS取不同性质的元件,如果Xp用电容,XS就用电感。
集总元件实现阻抗匹配原理:电阻并联电抗减小其实部,再串联电抗抵消其虚部,达到两个纯电路的匹配;当匹配的不是纯电阻时,可以采用抵消和吸纳虚部的方法实现复阻抗的匹配。
2.2联合匹配电路
以Freescale公司MRF6VP2600推挽式MOSFET管的匹配电路设计为例,首先确定匹配电路的基本结构和同轴变换器的阻抗变换,然后再确定特征阻抗、电长度和集总参数。由于输入匹配电路设计与输出匹配电路类似,下面详细研究输出匹配电路设计。MRF6VP2600的DATASHEET给的源极-源极的输出阻抗如图6所示。
图6 MRF6VP2600的输入-输出阻抗
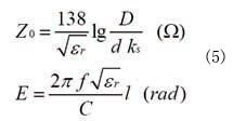
输出匹配电路中,由于功率管采用推挽式工作,所以在输出端加入1:1巴伦实现不平衡-平衡变换。利用通用模型,下面的工作就简化为同轴线与集总参数的匹配电路设计。同轴线的特征阻抗和电长度计算公式为:
式中,Er为内部填充介质的相对介电常数;D为外导体内径;d是内导体外径;为内导体系数,单股内导体时为1;C为空气中光的速度;f为工作频率,L为同轴线的长度。
公式5表明,电长度与频率呈线性关系,且其长度越短,电长度受频率的影响越小。
2.3仿真验证
利用安捷伦公司的ADS工具进行输出匹配电路设计与仿真,一般可采用大信号S参数仿真和谐波仿真,由于本文设计用于推挽式工作的匹配电路,所以选用更直观的谐波平衡仿真。利用同轴线和巴伦的模型进行仿真的电路如图7所示。
图7 仿真原理图
由于图7的负载阻抗的实部是随频率增减而减少,所以在同轴变换器的两端并联电容。可以很容易对电路进行手动调谐和自动优化,最后的仿真结果如图8所示。
图8 (87.5-108)Mhz匹配阻抗
由图6,图8可以得到各频点的反射系数;再根据反射系数与频率的关系,可以求得匹配电路在工作频带的反射系数;最后根据匹配效率与反射系数的关系,求得匹配电路的匹配效率。具体结果见表1。
表1 反射系数与匹配效率的计算结果
从表1可以得到,匹配电路的在工作频段内匹配效率达99.93%,实现了较好的匹配。


