- 易迪拓培训,专注于微波、射频、天线设计工程师的培养
保障通信正常,RS-485上下拉电阻要如何选择?
当增加终端电阻后,可以发现485总线的共模负载没有发生变化,但差模负载急剧减小,差模负载为

因此当485总线的节点数达到最多以及增加终端电阻后,485总线的差模负载仍大于54Ω,根据RS-485的标准,差分输出电压最小为1.5V。

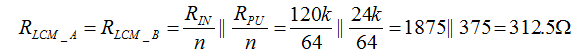
图 6 RSM485PCHT 64个节点等效示意图
以RSM485PCHT为例说明增加上下拉电阻的情况,如图 6所示,总线A或B的共模负载为:

实际测试上述情况,驱动输出的最小差分电压3.02V,这个电压远大于RS-485标准规定的最小差分输出电压1.5V。

图 7 RSM485PCHT 64个节点增加终端电阻示意图
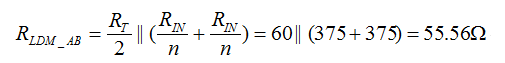
当在485总线上增加终端电阻时,可以看出总线A或B的共模负载并没有发生变化,而差分阻抗有了较大的变化,此时差模负载为:

计算出的差模负载要略大于RS-485标准规定的最大负载为54Ω,我们对RSM485PCHT进行实际测试,其输出差分电压1.58V,略大于标准规定的最小电压。
当差模负载为54Ω(485总线接两个120Ω终端电阻并且上拉电阻(下拉电阻)与收发器内阻的并联值为270Ω)时,RSM485PCHT的差分输出电压为1.52V(实测值),基本和RS-485标准相同。当差模负载为41.54Ω(485总线接两个120Ω终端电阻并且上拉电阻(下拉电阻)与收发器内阻的并联值为135Ω)时,RSM485PCHT的差分输出电压在1.17V左右(实测值),在这种情况下可以通信。但485收发芯片手册中规定的最大差模负载通常为54Ω,即在485总线上增加两个120Ω后,上拉电阻(下拉电阻)与收发器输入阻抗的并联值应大于270Ω。同时为了保证稳定可靠通信,一般485总线的上拉电阻(下拉电阻)与收发器输入阻抗的并联值应大于375Ω。
4、 总结
1) 通信线应选用屏蔽双绞线,屏蔽层应单点接大地;
2) 当我们没有遇到信号反射问题时,尽量不要使用终端电阻;
3) 如果使用终端电阻,我们可以通过上下拉电阻调节485总线在空闲状态的电压值,保证不处于门限电平(-200mV~+200mV或-200mV~-40mV)范围内;
4)当我们增加上下拉电阻时,上拉电阻(下拉电阻)与收发器输入阻抗的并联值应大于375Ω。
上一篇:使用BLE
4.2的系统设计-更快、更安全、更高效:硬件升级
下一篇:下一个突破性创新数字业务模式:神经可塑性“云”


