- 易迪拓培训,专注于微波、射频、天线设计工程师的培养
CRC32详解——转
第一次深入接触CRC,是在做802.11的MAC的设计实现的时候,802.11的MAC层采用的是CRC-32校验来确保传输数据包的完整性的。802.11标准附录的流程图中关于CRC-32校验只是做了算法级别的说明,但是没有具体的分析和阐述。在查了关于CRC计算的资料之后,结合具体的代码,我基本弄清了802.11的MAC中的CRC-32校验的主要原理,现在做一下简单的介绍,纯属个人理解。
1、先从CRC校验讲起。
所谓的CRC校验,就是循环冗余校验,Cyclic Redundancy Check,是数据通信领域中最常用的一种差错校验码,其特征是信息字段和校验字段的长度可以任意选定,也就是说,不管信息字段(我比较习惯称之为明文,plaintext或者message)有多长,只要选定某一种CRC校验,最后得到的校验字段(也可以称为校验和)的长度是一定的。
通常使用的CRC校验有CRC-12,CRC-16,CRC-32,后面的数字就表示校验之后校验字段的长度(以bit为单位)。
2、CRC校验的基本思路:
所有的CRC校验都是基于以下这个等式:

M是信息字段(Message)多项式,R是校验字段(Remainder)多项式,r是校验字段多项式的最高次幂(也就是校验字段的长度,CRC-32对应的r=32,依次类推)。G是生成(Generator)多项式。发送端M和G(对某一种确定的CRC校验,其G是固定的)是已知的,CRC计算就是为了求出校验字段R;接收端M,R,G都是已知的,主要的操作都是为了验证等式是否成立,方法有很多种。
3、发送端和接收端的具体处理方法(翻译自《CYCLIC REDUNDANCY CHECK》)
下表展示了用于被用于一些常用的CRC标准的生成多项式,Hex列表示生成多项式对应的十六进制,MSB(most significant bit,可以理解为最左边的一位)省略,因为该位总是为1:

不同CRC标准的差异之处在于其对生成多项式的选择。绝大多数的CRC校验采用由某个非零比特串预处理信息,另外的则不采用这样的初始化。绝大多数校验的传输采用逐比特的LSB优先原则,另外的则采用MSB优先。绝大多数校验采用LSB优先原则附加校验和,另外的则采用MSB优先。有些(校验)会对校验和取反。
CRC-12被用于传输6比特的字符数据流,其他的CRC校验则用于传输8比特的字符数据,或者是8比特为1字节的任意的数据。CRC-16被用于IBM的BISYNCH通信标准。CRC-CCITT多项式,或者说是ITU-TSS,被用于诸如XMODEM,X.25,IBM’s SDLC和ISO’s HDLC [Tanen]等。CRC-32也被称为AUTODIN-II和ITU-TSS(ITU-TSS定义了16比特和32比特的多项式)。被用于PKZip, Ethernet, AAL5 (ATM自适应层5),FDDI(分布式光线数据接口),IEEE-802 LAN/MAN 标准和一些DOD应用。以下是一些软件算法。
表中前三个多项式都有x+1作为因子,而最后一个(CRC-32)则没有。
为了检测错误插入的错误或者是检测前导0的出现,一些协议把一个或者多个非零比特串预添加到待传的消息中去。实际上,这些比特串并不参与传输,它们只是简单的被用于初始化用于进行CRC运算的key寄存器。r比特个全1的值经常被采用,接收端也是以相同的方式初始化该寄存器。
拖尾0的问题有一点小复杂。接收端接收到明文和校验和,计算出明文的余式,并与校验和做比较,就能检测出错误,这没有问题。更简单的做法是,接收端对接收到的所有数据求余式(包括明文和校验和),所得的余式一定为0。但是,余式为0并不一定能够说明明文没有改变,如果明文有尾部的0增加或者删除的情况出现,是无法被检测出来的。
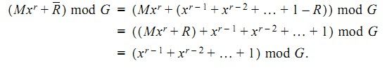
那么接收端如何才能识别无差错的传输呢?我们知道:

用/R表示R对1取反,我们得到:

因此,由接收端计算出的无差错的传输的校验和应该是:

对于给定的生成多项式G,上式是一个常数,对CRC-32而言,该值成为剩余值,是:

或以十六进制表示:C704DD7B。
4、MAC中的CRC-32的流程
MAC层中有三个功能模块用到了CRC校验子模块,一个是负责分片和加密的MPDU_Generation模块(模块2),实际上是加密进程中包含了CRC校验(ICV是明文的CRC校验),一个是负责发送的发送模块(模块4),要给整个MPDU加上FCS;还有一个是接收模块(模块5),用CRC校验模块来验证MPDU的完整性。
这三个模块在标准中被称为Operator CRC32(参见IEEE 1999 P302),如3中提到的:为了检测错误插入的错误或者是检测前导0的出现,该协议设定了全为1的32位初始值存于key寄存器:其输入是32位的crcin(标准中规定crcin的初始值是0xFFFF),8位的val(信息字段,明文),输出是32位的result。无论待校验的数据多长,都是先将先收到的8位数据输入,再将输出的result作为下一个CRC32的crcin,另一输入是下个8位数据,依次类推。
在发送端,包括模块2和模块4。也是如3中提到的:为了检测明文尾部0的插入或者删除的情况,对获得的R取反后再附加到明文后面。遵循LSB优先原则,明文按低字节开始输入(crcin取crcinital=0xFFFF),待校验明文都处理完毕之后将所得到的FCS取反、逆序,发送的顺序是:首先是明文按低字节逐字节发送,然后将取反逆序的FCS(暂且称为FCS’)按照低字节逐字节发送。
在发送端,我们按照先发先收的原则,将先收到字节输入,类似于发送端的过程,不同的是将FCS也作为输入数据,求出最后的CRC值,与剩余值作比较,如果等于剩余值说明消息完整。
以下是示意图:
5、内部的运算
为实现求出满足

的R,并取反,MAC中的CRC32的具体算法如下图所示:
其中feedback = 0x04C11DB7。
用C代码可以这样表示:
- unsigned int crc32(unsigned char *message) {
unsigned int crc32(unsigned char *message) {
int i, j;
unsigned int byte, crc;
i = 0;
crc = 0xFFFFFFFF;
while (message != 0) {
byte = message; // Get next byte.
byte = reverse(byte); // 32-bit reversal.
for (j = 0; j <= 7; j++) { // Do eight times.
if ((int)(crc ^ byte) < 0)
crc = (crc << 1) ^ 0x04C11DB7;
else crc = crc << 1;
byte = byte << 1; // Ready next msg bit.
}
i = i + 1;
}
return reverse(~crc);
}
数学推导水平实在太差,实在不懂这是怎么推出来的,抱着工科娃不求甚解的精神,我就不多想了。
多谢小编分享!
通俗易懂,非常实用
上一篇:市面上大部分标清的图传都是300-500MHz的发射频率,实测效果还是比较稳定,还有必要加抗干扰器么?
下一篇:BK9524麦克风芯片,有几段,有芯片资料分享么


