- 易迪拓培训,专注于微波、射频、天线设计工程师的培养
基于PBCC传输方式的WLAN接收机简化设计
摘 要:对于采用分组二进制卷积编码(PBCC)传输方式的无线局域网(WLAN)系统,其接收机通常由预滤波器及均衡器两部分组成。预滤波器通常采用白化匹配滤波器(WMF),以使整个系统满足最小相位条件;均衡器普遍采用减状态均衡算法,以取得算法复杂性与MLSE算法性能之间的折衷。为了降低预滤波环节的计算复杂度,提出一种简单的采用迫零准则设计预滤波器的方法。仿真结果表明,该方法可以大大降低接收机的复杂度,且接收性能与原有设计方法基本相当。
0 引 言
对于采用PBCC调制方式的高速无线局域网系统而言,信号经过多径信道传输后,接收信号中包含码间干扰及噪声的影响。因此在接收端必须采用均衡算法,以得到发送信息的可靠估计。众所周知,最佳的均衡算法为极大似然序列检测(MLSE)算法。然而,当信道存在较大的时延扩展或采用非二元的信号形式时,MLSE算法的复杂性很高。因此,在实际系统中需要采用次最佳的均衡算法,如:判决反馈均衡、减状态序列估计、M算法等。所有这些算法且基本思想均在于降低系统网格的复杂性,并在网格已确定的情况下减少幸存路径的数目。对于这类次最佳且基于网格搜索的均衡器而言,通常认为需要整个系统的离散冲激响应满足最小相位条件,方能获得理想的性能。因此,一般需要在均衡器之前引入一个离散时间预滤波器,将信道冲激响应转化为相应的最小相位形式。相应地,接收机设计为由预滤波器和均衡器两部分组成,预滤波器也可视作信道前径均衡器。对预滤波器的设计通常采用白化匹配滤波器,但白化匹配滤波器系数的求取较为复杂,并且经过白化匹配滤波器后的信号包含多路后径的影响,从而增加了后续均衡器的复杂性。为了简化接收机的设计,提出了一种采用迫零准则设计预滤波器的方法,并结合M算法完成后续的减状态均衡处理。采用该方法可以有效地降低接收机的复杂度,并保持接收性能与原有设计方法基本相当。
1 接收机框图
本文采用的接收机框图如图1所示。首先,接收到的基带数据经A/D变换后得到数字采样信号;然后,利用接收到的前导码信号进行信道冲激响应估计,并利用该信道估计结果完成预滤波及均衡参数计算;最后,对采样信号进行预滤波及减状态均衡处理以得到相应的输出数据。图1中的预滤波器为采用迫零准则设计的FIR滤波器,具体的预滤波器系数求取方法见第2部分。图1中的减状态均衡采用M算法,具体实现见第3部分。

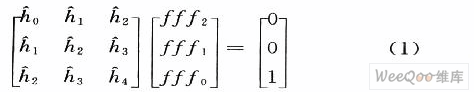
2 预滤波器系数求取
采用IEEE 802.11标准中推荐的指数衰减信道模型作为本文中的信道模型。研究表明,室内无线信道中信道后径数目较多为主要成分,信道前径通常很短,数目较少。本文采用的信道冲激响应{hj}{i=O,1,2,…,10)共包含11条路径,其中包含2路前径,1路主径及8路后径。在单个数据包发送时间内信道不会发生剧烈变化,因此可以使用每个数据帧的前导码部分包含的巴克码进行信道冲激响应估计。在得到信道冲激响应估计值{hj}之后,采用迫零准则计算预滤波器即前馈滤波器(Feed Forward Filter)的系数{fffk}{K=0,1,2}。具体算法如式(1):

将信道冲激响应估计值{hj}与前馈滤波器系数{fffk}进行卷积,可得到等效冲激响应{gi}{i=0,1,2,…,12)。等效冲激响应前四个值均近似为零,因此均衡器只需考虑后9条路径,包括1条主径和8条后径的影响。将等效冲激响应{gi}截断为{fi}(i=0,1,2,…,8)。
3 均衡算法
3.1 极大似然序列估计
对于经预滤波处理后的输出序列{vk},极大似然序列估计的目的是选择一个输入码元序列的估计{Ik),使得似然函数最大化。因为度量:

的取值与似然函数成反比,使得度量Mk最小化的序列{Ik}即为极大似然序列估计问题的解。
序列{Ik}的路径度量可以迭代运算,即:

3.2 均衡算法细节
为了降低系统网格的复杂性,仅考虑由二进制卷积编码所产生的网格状态,而不考虑由信道多径所产生的网格状态。对每一条幸存路径,计算由信道所引起的码间干扰,并予以剔除。度量更新公式可表示为:

式中:反馈信息{Ik-1,Ik-2,…,Ik-L}从幸存路径中提取。
为了进一步降低运算量,只保留网格中的部分路径。显而易见,最佳策略只保留那些与接收序列具有最小距离的路径。M算法共选择M个具有最小距离的路径。
来源:维库开发网


