- 易迪拓培训,专注于微波、射频、天线设计工程师的培养
基于PBCC传输方式的WLAN接收机简化设计
M算法的具体步骤如下:
(1)从根节点出发,对于每个阶段l=1,2,…,LD(LD为判决深度),重复步骤(2)~(5)。
(2)从第l-1阶段到第l阶段延伸所有路径。
(3)保留与接收路径最为接近的M条路径,删除
其他路径。
(4)如果没有路径保留,声明算法失败并停止。
(5)循环停止的准则是如果所有路径均位于同一子集,执行步骤(6),否则重复循环(初始分支加上其前向路径构成树图的一个子集)。
(6)将存储路径中具有最小距离路径的第一个分支作为输出。
(7)删除所有存储路径,并将输出路径的端节点作为新的根节点。
4 数值结果
PBCC调制的框图如图2所示。

对于5.5 Mb/s和11 Mb/s的传输速率,码率为1/2的二进制卷积编码的生成矩阵为:

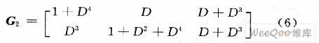
然而对于22 Mb/s的传输速率,码率为2/3二进制卷积编码的生成矩阵为:

使用掩码使发送比特随机化。从二进制卷积编码的输出到PSK星座点的映射由掩码决定。
采用迫零准则设计预滤波器(表中用ZF-FFF表示),并选择M算法进行后续的均衡。现以22 Mb/s的传输速率及前导码为短码的情况为例进行仿真,假定晶振偏差为-20 ppm。
表1~表3给出在不同传输信道条件下,经过8次运算所得的平均误比特率。每次发送比特数为1 000 b。为便于比较,表中同时列出采用WMF作为预滤波器时的仿真结果。

由表1~表3可见,当传输信道冲激响应不包含前径时,无论采用WMF或ZF-FFF作为预滤波器,均可获得良好的接收性能。当传输信道冲激响应包含一路或二路前径时,接收性能有所下降,而为达到一定的误比特率性能所需的信噪比门限有所提高。采用ZF-FFF作为预滤波器与采用WMF作为预滤波器相比,引起的接收性能下降仅为2 dB左右。与采用WMF作为预滤波器相比,采用ZF-FFF作为预滤波器,在滤波器系数求取及滤波运算时,其计算复杂度均有明显下降。
5 结 语
给出了基于PBC传输方式的WLAN接收机设计方法,即采用迫零准则设计预滤波器(ZF-FFF);选择M算法来对抗码间干扰的影响。与采用白化匹配滤波器作为预滤波器的传统接收机设计方法相比,运算复杂度得到大幅度降低。计算机仿真结果表明,上述接收机设计在不同信道情况下表现出稳健的性能。该设计易于实现,性能优良,具有良好的实际应用前景。
来源:维库开发网


