- 易迪拓培训,专注于微波、射频、天线设计工程师的培养
如何减少连接器辐射的有效解决方案
电磁干扰是由大环路中的信号电流引起的。
图9.6举例说明了一个普通的电磁干扰问题。一个64位总线从板卡A经过连接器B连到母板卡上,母板卡可能是一个主CPU卡或是一个通往其他子卡的无源通道。64条信号线的返回电流从母板卡C流回板卡A,其中的绝大部分通过了连接器B的接地脚。

只有一小部分信号返回电流经由不同的路径流回板卡A然而,正是这一小部分返回电流引起了大量的EMI问题。
高频电流流经大的环路时会辐射出大量的电磁能量,这将不能通过FCC或VDE所规定的辐射测试。EMI设计的主要工作是使所有信号的电流环路横截面的面积最小。例如,在一个完整地平面上,高频电流趋向于紧贴走线正下方返回,一条6IN长,距离地平面0.010IN的走线所围起来环路面积仅仅为 0.006IN的2次方。这么大的环路面积,在EMI方面是可以接受的。在图9.6中,板卡A和C上的64位总线信号由完整地平面返回,因此我们可以忽略其信号和地之间的环路面积。
返回电流路径上的任何阻断或不连续,如连接器接地引脚上的转换,会在电流环路上产生“气泡”,这些气泡是否会带来足够大的面积,从而导致辐射超标,取决于回路中信号电流的总DI/DT值。
在图9.6中,环路面积上的气泡一般发生在连接器B内,因为连接器上的信号和地线引脚是分开的。该气泡记为G1,64位总线信号路径的环路电感大部分来自环路G1的电感。
信号返回电流是否有其他的返回路径,取决于连接器B的物理结构,以及板卡A和C所在的机箱结构的具体情况。任何电流在返回位于板卡A上的源端时,如果不经过连接器B,则将包含一个大的环路面积,并产生大量的辐射。
例如,在图9.7中,假设板卡A和C共用两个连接器,另外增加的连接器记为D,将其安排在与连接器B相隔一段距离的地方。现在有一部分信号的返回电流可以由连接器D上的地线流加A,如图9.7中的环路G2所示。

调整信号返回电流通过连接器D的比例,取决于环路G1的电感(见图9.6)与G2(见图9.7)的电感的比值:
(式5)
在非常低的频率上,流经连接器D的信号返回电流的量取决于阻抗的比值,而在较高的频率上,则取决于上式中电感的比值。即然EMI是一个高频问题,这里我们也就只关心两个环路电感的比值。
因为环路G1面积较小,其电感也比G2要小一些,因此只有一小部分的返回信号电流经过路径G2。但是,即便如此小的一部分电流也足以使辐射超标。在 30MHZ以上,在距设备3M远处进行测试,FCC和VDE的辐射限制都大致为100UV/M。关于辐射标准的更多细节以及防止电磁辐射的设计技术,可以参考OTT,MARDIGUIAN和KEISER等人的论著。
要想精确计算一个数字产品的辐射强度等级是件不现实的事情,因为有太多的因素会影响结果。下式表示了一个简单的约束条件:开放的测量试验场合,30MHZ以上,满足FCC和VDE辐射限制的环路面积、峰值电流和上升时间。
(式6)
其中:E=3M处的国辐射电场强度,V/M
A=辐射环路面积,IN2
IP=峰值电流,A
T10~90%=信号上升时间
FCKOCK=时间频率,HZ
关于上式需要注意:
最终产品的辐射指标与上式所预算的指标相差20DB是很常见的,其中包括一个很大的修正系数。
应该明确,辐射测试是测试系统中所有线路辐射的总和,如果一条线刚刚符合标准,那么增加了100条线肯定就不符合标准了。
在设计最后设定之前,先搭建一个模拟系统测试一下,其中只需包括一些穿过连接器系统的时钟信号,听起来很浪费,但最终来看会节省很多钱。因为等到工程结束需要重新设计机械封装和屏蔽时,成本会急剧增加。
[p]
案例:一个连接器的噪声辐射
图9.8显示了一个典型的16位总线。我们来分步计算路径G1和G2的电感,以及路径G1的辐射和路径G2的辐射。
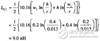
路径G1的电感:
(式7)
R=0.025/2(引脚半径,直径的一半,IN
注意:我们用的是H/R,而不是2H/D)
W1=0.2(信号到地的距离,IN)
H=0.4(连接器引脚长度,IN)
1/2=修正系数,由于信号引脚两边有地线(见“互感--连接器如何引起串扰”中的准则2)
路径G2的电感:
(式8)
R=0.025/2(引脚半径,直径的一半,IN)
W1=0.2(信号到连接器D的距离,IN)
H=0.4(连接器引脚长度,IN)
假设每个驱动信号都通过50欧传输线传播,幅度为典型的TTL电平3.7V,信号电流的峰-峰值为74MA。峰值电流是其一半或正负37MA。
采用式5救出路径Y的峰值电流:
(式9)
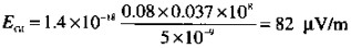
现在采用式6来估算环路G1和G2的辐射,首先计算G1:
(式10)
A=0.08(引脚长度0.4IN*信号到地距离0.2IN,IN的2次方)
IC1=0.037(峰值电流,A)
T10~90%=5*10的-9次方(信号上升时间,S)
FCKOCK=100MHZ
一条信号线的辐射为82UV,总的辐射与相关信号线数量的平方根近似成正比,所有16条线的辐射量为:
(式11)
按照这样的设计,这个连接器的安排将不能通过规定测试,再看看连接器D的情况:
(式12)
A=2.4(引脚长度0.4IN/信号到地距离6IN,IN的2次方)
IG2=0.0015(峰会值电流,A)
T10~90%=5*10的-9次方(信号上升时间,S)
FCIOK=100MHZ
一条信号线的辐射为90UV,所有16条线总的辐射为:
(式13)
实际上,环路G2辐射比G1辐射大,这里因为电感LG2只随连接器B与D之间距离的对数值的增加而增加,而环路G2面积的增加直接正比于连接器B和 D的距离。电感的增加虽然使得流过G2的电流减少,但是环路面积增大导致增加的辐射要大得多。连接器B和D之间距离的增大实际上会使辐射问题更加恶化。
下面是一些能有效减少连接器辐射的准则:
准则1 在连接器B中多用一些接地引脚,使地线靠近每一条信号线,从而有效地减小连接器B中的有效辐射环路面积。
准则2 在连接器B中增加更多的地线也能降低其电感,由式5可知,这样可以减少在远端环路中流过的电流。
准则3 将板卡A上所有的母板卡连接器紧密放置,以破环或消除远端返回电流路径。
准则4 沿着板卡A和板卡C的边缘布放连续的接地点,根据式5这样可以提供一个阻抗非常低的返回路径,降低远端环路电流。
准则5 不要把I/O电缆连接在板卡A的外边缘上,这样会从母板卡C上产生一个大的远端返回电流路径,经过大地和I/O电缆返回板卡A。应该将电缆边在母板卡上,或者在母板卡上靠近连接器B外进行高频滤波。
准则6 对于采用的驱动门电路,要使其上升沿时间要尽可能长。式6表明,辐射与上升时间的倒数成正比。
EMC电磁兼容设计培训套装,视频教程,让您系统学习EMC知识...
射频工程师养成培训教程套装,助您快速成为一名优秀射频工程师...
上一篇:电磁干扰滤波器原理电路设计
下一篇:TI
EMI如何通过介质干扰电路

