- 易迪拓培训,专注于微波、射频、天线设计工程师的培养
电阻选型与应用知识系列大讲台—电阻的应用(2)
录入:edatop.com 点击:
中心议题:
【CLASS 1】电阻选型与应用知识系列大讲台—电阻基础知识大搜罗
http://www.cntronics.com/art/artinfo/id/80010906 page=1
【CLASS 2】电阻选型与应用知识系列大讲台—电阻检测与失效分析
http://www.cntronics.com/art/artinfo/id/80011025
【CLASS 3】电阻选型与应用知识系列大讲台—电阻的基本选型原则及案例分析
http://www.cntronics.com/art/artinfo/id/80011142
【CLASS 4】电阻选型与应用知识系列大讲台—电阻的应用(1)
http://www.cntronics.com/art/artinfo/id/80011295
【CLASS 5】电阻选型与应用知识系列大讲台—电阻的应用(2)
http://www.cntronics.com/art/artinfo/id/80011670
在上一讲中主要涉及三大基本定律(电阻定律、欧姆定律、焦耳定律)和四大基本电路(串联分压、并联分流、阻抗匹配和RC充放电路),本讲将有针对性的通过一些具体的电路,深入分析电阻的应用。
串联分压/并联分流应用
这是一道颇具争议性的问题,相信很多高考生、大学生甚至是已经参加工作几年的工程师朋友咋一看都会为之花眼,下面请看题:
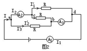
如图1所示,三个电阻的阻值相等,电流表A1、A2和A3的内电阻均可忽略,它们的示数分别为I1、I2和I3,则I1:I2:I3=______:______:______.
分析:根据电路,画出等效电路图,如图2所示。
其中:
第一支线由a点经A2到C点,再经R到d点;
第二支线由a点经A2到C点,经R到b点,经A3到d点;
第三支线由a点经R到b点,再经A3到d点.
不计电流表内电阻时,三个电阻并联.设总电流为I,则通过每个电阻的电流
相等,均为
其中,电流表A1测量的是总电流,即I1=I.,电流表A2测量的是流过上面两支路中的电流,即
电流表
测量的是流过下面两支路中的电流。
[p]
反馈应用
Buck变换器由于具有效率高的优点而被广泛应用于手机、GPS、MP3等移动多媒体设备上,目前很多电源管理芯片制造厂商都推出了不同电流能力的Buck变换器,这类变 换器虽然在电流能力和保护功能方面存在一些差异,但是他们电路的主框架结构是基本一致的,主要可以分为两个部分:一是实现电能转换的主功率部分,另一部分 是实现负反馈控制的控制电路。下图是BCD半导体公司的Buck变换器AP3406的典型应用图,黄色框里是对反馈电阻的作用做简要分析。
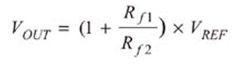
反馈作用1:设置输出电压
反馈电阻Rf1和Rf2的第一个作用是设置Buck电路的输出电压值,如图3所示,稳态时,运算放大器的反相输入端和同相输入端电压是相等的,于是可以得到输出电压计算公式(其中VREF是芯片内部基准电压(本例中为0.6V)):

反馈作用2: 影响系统稳定性和动态响应
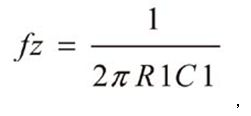
图3黄色框中同时也是电路的补偿网络部分,补偿网络中包括 R1,C1,C2和Rf1(注:Rf2在环路分析中不起作用),补偿网络的传递函数可以表示为:

从上式可以看出补偿网络产生了两个极点,其中一个极点在0点,另一个极点为

同时还产生了一个零点

从上面分析可以知道,Rf1在补偿网络中的作用是改变中频段增益,对补偿网络中的零极点不会有影响,随着Rf1的增大,幅频特性往下平移,相频特性不变。
因此,当补偿网络进入系统环路之后,Rf1的作用是使环路增益的幅频特性上下平移,同时环路增益的相频特性保持不变。
延伸阅读可点击:http://www.cntronics.com/art/artinfo/id/80011669
[p]
偏置应用
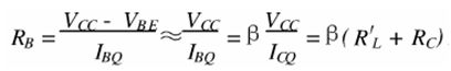
放大电路静态工作点直接影响到放大电路的性能,静态工作点设置过低或者过高都会使放大电路动态范围减小,使得输入信号较大时输出信号产生截止或者饱和失真,下面以“定基流偏置电路”来对电阻的偏置应用作一介绍。

其中,
很小,可以忽略不计,于是有

上式是偏置电阻的表达式,从式子可以看出偏置电阻阻值不仅与集电极电阻有关,还与三极管电流放大系数、负载有关,也就是说我们可以通过调整负载来调整三极管的偏置情况。
上拉和下拉电阻作用和选用原则
作用:
1、提高電壓准位:a.当TTL电路驱动COMS电路时,如果TTL电路输出的高电平低于COMS电路的最低高电平(一般为3.5V),这时就需要在TTL的输出端接上拉电阻,以提高输出高电平的值。b.OC门电路必须加上拉电阻,以提高输出的搞电平值。
2、加大输出引脚的驱动能力,有的单片机管脚上也常使用上拉电阻。
3、N/A pin防靜電、防干擾:在COMS芯片上,为了防止静电造成损坏,不用的管脚不能悬空,一般接上拉电阻产生降低输入阻抗,提供泄荷通路。同時管脚悬空就比较容易接受外界的电磁干扰。
4、电阻匹配,抑制反射波干扰:长线传输中电阻不匹配容易引起反射波干扰,加上下拉电阻是电阻匹配,有效的抑制反射波干扰。
5、預設空閒狀態/缺省電位:在一些 CMOS 输入端接上或下拉电阻是为了预设缺省电位. 当你不用这些引脚的时候, 这些输入端下拉接 0 或上拉接 1。在I2C总线等总线上,空闲时的状态是由上下拉电阻获得。
6. 提高芯片输入信号的噪声容限:输入端如果是高阻状态,或者高阻抗输入端处于悬空状态,此时需要加上拉或下拉,以免收到随机电平而影响电路工作。同样如果输出端处于被动状态,需要加上拉或下拉,如输出端仅仅是一个三极管的集电极。从而提高芯片输入信号的噪声容限增强抗干扰能力。
选择原则
1、从节约功耗及芯片的灌电流能力考虑应当足够大;电阻大,电流小。
2、从确保足够的驱动电流考虑应当足够小;电阻小,电流大。
3、对于高速电路,过大的上拉电阻可能边沿变平缓。
综合考虑以上三点,通常在1k到10k之间选取。对下拉电阻也有类似道理。
完
- 电阻的串联分压/并联分流应用
- 电阻的反馈应用
- 电阻的偏置应用
- 电阻的上拉和下拉应用
【CLASS 1】电阻选型与应用知识系列大讲台—电阻基础知识大搜罗
http://www.cntronics.com/art/artinfo/id/80010906 page=1
【CLASS 2】电阻选型与应用知识系列大讲台—电阻检测与失效分析
http://www.cntronics.com/art/artinfo/id/80011025
【CLASS 3】电阻选型与应用知识系列大讲台—电阻的基本选型原则及案例分析
http://www.cntronics.com/art/artinfo/id/80011142
【CLASS 4】电阻选型与应用知识系列大讲台—电阻的应用(1)
http://www.cntronics.com/art/artinfo/id/80011295
【CLASS 5】电阻选型与应用知识系列大讲台—电阻的应用(2)
http://www.cntronics.com/art/artinfo/id/80011670
在上一讲中主要涉及三大基本定律(电阻定律、欧姆定律、焦耳定律)和四大基本电路(串联分压、并联分流、阻抗匹配和RC充放电路),本讲将有针对性的通过一些具体的电路,深入分析电阻的应用。
串联分压/并联分流应用
这是一道颇具争议性的问题,相信很多高考生、大学生甚至是已经参加工作几年的工程师朋友咋一看都会为之花眼,下面请看题:

如图1所示,三个电阻的阻值相等,电流表A1、A2和A3的内电阻均可忽略,它们的示数分别为I1、I2和I3,则I1:I2:I3=______:______:______.
分析:根据电路,画出等效电路图,如图2所示。

其中:
第一支线由a点经A2到C点,再经R到d点;
第二支线由a点经A2到C点,经R到b点,经A3到d点;
第三支线由a点经R到b点,再经A3到d点.
不计电流表内电阻时,三个电阻并联.设总电流为I,则通过每个电阻的电流
反馈应用
Buck变换器由于具有效率高的优点而被广泛应用于手机、GPS、MP3等移动多媒体设备上,目前很多电源管理芯片制造厂商都推出了不同电流能力的Buck变换器,这类变 换器虽然在电流能力和保护功能方面存在一些差异,但是他们电路的主框架结构是基本一致的,主要可以分为两个部分:一是实现电能转换的主功率部分,另一部分 是实现负反馈控制的控制电路。下图是BCD半导体公司的Buck变换器AP3406的典型应用图,黄色框里是对反馈电阻的作用做简要分析。

反馈作用1:设置输出电压
反馈电阻Rf1和Rf2的第一个作用是设置Buck电路的输出电压值,如图3所示,稳态时,运算放大器的反相输入端和同相输入端电压是相等的,于是可以得到输出电压计算公式(其中VREF是芯片内部基准电压(本例中为0.6V)):

反馈作用2: 影响系统稳定性和动态响应
图3黄色框中同时也是电路的补偿网络部分,补偿网络中包括 R1,C1,C2和Rf1(注:Rf2在环路分析中不起作用),补偿网络的传递函数可以表示为:

从上式可以看出补偿网络产生了两个极点,其中一个极点在0点,另一个极点为

同时还产生了一个零点

从上面分析可以知道,Rf1在补偿网络中的作用是改变中频段增益,对补偿网络中的零极点不会有影响,随着Rf1的增大,幅频特性往下平移,相频特性不变。
因此,当补偿网络进入系统环路之后,Rf1的作用是使环路增益的幅频特性上下平移,同时环路增益的相频特性保持不变。
延伸阅读可点击:http://www.cntronics.com/art/artinfo/id/80011669
[p]
偏置应用
放大电路静态工作点直接影响到放大电路的性能,静态工作点设置过低或者过高都会使放大电路动态范围减小,使得输入信号较大时输出信号产生截止或者饱和失真,下面以“定基流偏置电路”来对电阻的偏置应用作一介绍。


其中,

上式是偏置电阻的表达式,从式子可以看出偏置电阻阻值不仅与集电极电阻有关,还与三极管电流放大系数、负载有关,也就是说我们可以通过调整负载来调整三极管的偏置情况。
上拉和下拉电阻作用和选用原则
作用:
1、提高電壓准位:a.当TTL电路驱动COMS电路时,如果TTL电路输出的高电平低于COMS电路的最低高电平(一般为3.5V),这时就需要在TTL的输出端接上拉电阻,以提高输出高电平的值。b.OC门电路必须加上拉电阻,以提高输出的搞电平值。
2、加大输出引脚的驱动能力,有的单片机管脚上也常使用上拉电阻。
3、N/A pin防靜電、防干擾:在COMS芯片上,为了防止静电造成损坏,不用的管脚不能悬空,一般接上拉电阻产生降低输入阻抗,提供泄荷通路。同時管脚悬空就比较容易接受外界的电磁干扰。
4、电阻匹配,抑制反射波干扰:长线传输中电阻不匹配容易引起反射波干扰,加上下拉电阻是电阻匹配,有效的抑制反射波干扰。
5、預設空閒狀態/缺省電位:在一些 CMOS 输入端接上或下拉电阻是为了预设缺省电位. 当你不用这些引脚的时候, 这些输入端下拉接 0 或上拉接 1。在I2C总线等总线上,空闲时的状态是由上下拉电阻获得。
6. 提高芯片输入信号的噪声容限:输入端如果是高阻状态,或者高阻抗输入端处于悬空状态,此时需要加上拉或下拉,以免收到随机电平而影响电路工作。同样如果输出端处于被动状态,需要加上拉或下拉,如输出端仅仅是一个三极管的集电极。从而提高芯片输入信号的噪声容限增强抗干扰能力。
选择原则
1、从节约功耗及芯片的灌电流能力考虑应当足够大;电阻大,电流小。
2、从确保足够的驱动电流考虑应当足够小;电阻小,电流大。
3、对于高速电路,过大的上拉电阻可能边沿变平缓。
综合考虑以上三点,通常在1k到10k之间选取。对下拉电阻也有类似道理。
完
EMC电磁兼容设计培训套装,视频教程,让您系统学习EMC知识...
射频工程师养成培训教程套装,助您快速成为一名优秀射频工程师...
上一篇:第一讲:EMC元器件的选择和应用技巧
下一篇:集成电路EMC测试方法

