- 易迪拓培训,专注于微波、射频、天线设计工程师的培养
PCB的辐射
录入:edatop.com 点击:
中心议题:
线路板的辐射主要产生于PCB走线和“I/O”电缆。前面介绍了共模和差模电流,从这两种电流的模式出发,可把辐射分为差模辐射和共模辐射两种。
•差模辐射:电路工作电流在信号环路中流动会产生电磁辐射。而流动的电流是差模,因此产生的辐射称为差模辐射;
•共模辐射:当传输信号的导体的电位与邻近导体的电位不同时,相互之间就会产生电流。即使没有任何导体连接,高频电流也会通过寄生电容流动。这种电流称为共模电流,其产生的辐射称为共模辐射。
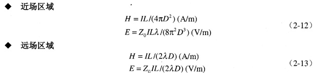
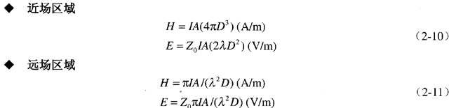
电缆的辐射主要以共模辐射为主。用电流环路模型来分析差模辐射,可分别得出近场区域和远场区域的辐射电磁场。
式中,I为环路电流;A为环路面积;D为观测点到环路的距离;Zo为自由空间的阻抗;λ为电流频率所对应的波长。
同理分析共模辐射,分别得出近场区域和远场区域的辐射电磁场。

式中,I为环路电流;L为导线长度;D为观测点到环路的距离;Zo为自由空间的阻抗;λ为电流频率所对应的波长。
公式中的电流为共模电流。与前面差模电流不同的是,共模电流的实际值很难预先估算出来。
以上介绍的辐射并不完全符合实际应用电路的情况,因为公式的推导都假设在单根导线模型中,电路阻抗在近场为无限大,并且在电流环路模型中,电路是短路的。在实际电路中,电路不是理想的环路,也不是完全开路的导线。因此,利用理想模型进行辐射估计,会在近场出现较大的误差。为了修正实际与理想模型所带来的误差,下面分别给出近场和远场的修正导线计算模型:


式中,V为源的电压;A为环路面积;f为电流的频率;D为观测点到电路的距离。
同时,远场的辐射与电路的阻抗无关。各种数量关系如图所示。

图实际辐射电路简化图
另外,在电磁兼容标准中,通常使用电场强度来表征辐射的强度。实际中只要对电场强度作出规范的限制,即可使电路达到电磁兼容的标准。这里,最常用的公式是差模辐射预测公式,用于预测电路的差模辐射是否会导致辐射超过电磁兼容标准。
E=2.6IAf2/D(μV/m)(2-16)
由上面的公式可知,直接得出减小差模辐射就是控制差模电流I、频率f或环路面积A。使用低功耗的芯片,利用缓冲器都可以减小差模电流I;使用低速芯片,降低电路的频率可以减小f.但这两种方法在实践中都有一定的局限性。剩下的而且是最现实的手段就是控制信号的环路面积。这要求设计者在选用芯片时尽量选用大规模集成电路,采用表面安装工艺制造的芯片,不使用安装座等;另一方面,在线路板布线时,尽量控制信号回路的面积。
最常用共模辐射预测公式为
E=1.26ILf/D(2-17)
同理可知,只要控制以上公式的3个参量,即可达到减小共模辐射的标准。可以采用共模扼流圈,在共模电压一定的情况下,增加共模电流流动路径的阻抗;或在满足使用要求的前提下,尽量缩短电缆。
- PCB的电磁兼容设计
- 使用低功耗的芯片
- 使用低速芯片降低电路的频率
- 利用缓冲器减小差模电流
线路板的辐射主要产生于PCB走线和“I/O”电缆。前面介绍了共模和差模电流,从这两种电流的模式出发,可把辐射分为差模辐射和共模辐射两种。
•差模辐射:电路工作电流在信号环路中流动会产生电磁辐射。而流动的电流是差模,因此产生的辐射称为差模辐射;
•共模辐射:当传输信号的导体的电位与邻近导体的电位不同时,相互之间就会产生电流。即使没有任何导体连接,高频电流也会通过寄生电容流动。这种电流称为共模电流,其产生的辐射称为共模辐射。
电缆的辐射主要以共模辐射为主。用电流环路模型来分析差模辐射,可分别得出近场区域和远场区域的辐射电磁场。
式中,I为环路电流;A为环路面积;D为观测点到环路的距离;Zo为自由空间的阻抗;λ为电流频率所对应的波长。同理分析共模辐射,分别得出近场区域和远场区域的辐射电磁场。

式中,I为环路电流;L为导线长度;D为观测点到环路的距离;Zo为自由空间的阻抗;λ为电流频率所对应的波长。
公式中的电流为共模电流。与前面差模电流不同的是,共模电流的实际值很难预先估算出来。
以上介绍的辐射并不完全符合实际应用电路的情况,因为公式的推导都假设在单根导线模型中,电路阻抗在近场为无限大,并且在电流环路模型中,电路是短路的。在实际电路中,电路不是理想的环路,也不是完全开路的导线。因此,利用理想模型进行辐射估计,会在近场出现较大的误差。为了修正实际与理想模型所带来的误差,下面分别给出近场和远场的修正导线计算模型:


式中,V为源的电压;A为环路面积;f为电流的频率;D为观测点到电路的距离。
同时,远场的辐射与电路的阻抗无关。各种数量关系如图所示。

图实际辐射电路简化图
另外,在电磁兼容标准中,通常使用电场强度来表征辐射的强度。实际中只要对电场强度作出规范的限制,即可使电路达到电磁兼容的标准。这里,最常用的公式是差模辐射预测公式,用于预测电路的差模辐射是否会导致辐射超过电磁兼容标准。
E=2.6IAf2/D(μV/m)(2-16)
由上面的公式可知,直接得出减小差模辐射就是控制差模电流I、频率f或环路面积A。使用低功耗的芯片,利用缓冲器都可以减小差模电流I;使用低速芯片,降低电路的频率可以减小f.但这两种方法在实践中都有一定的局限性。剩下的而且是最现实的手段就是控制信号的环路面积。这要求设计者在选用芯片时尽量选用大规模集成电路,采用表面安装工艺制造的芯片,不使用安装座等;另一方面,在线路板布线时,尽量控制信号回路的面积。
最常用共模辐射预测公式为
E=1.26ILf/D(2-17)
同理可知,只要控制以上公式的3个参量,即可达到减小共模辐射的标准。可以采用共模扼流圈,在共模电压一定的情况下,增加共模电流流动路径的阻抗;或在满足使用要求的前提下,尽量缩短电缆。
EMC电磁兼容设计培训套装,视频教程,让您系统学习EMC知识...

