- 易迪拓培训,专注于微波、射频、天线设计工程师的培养
电磁兼容与噪声
中心论题:
- 辐射机理
- 实例分析
- 结果讨论
解决方案:
- 考虑屏蔽体的机械强度、弯曲易加工性、弹性零件的尺寸稳定性以及接触电阻等因素
- 综合考虑屏蔽体的外形尺寸、所受磁场方向、漏磁、接地点等问题
引言
在有限的空间和有限的频率资源条件下,如何避免电磁之间的相互干扰也就是电磁兼容性问题。所谓“电磁兼容性”在国家EMI标准中作了如下定义:“设备(分系统、系统)在共同的电磁环境中能一起执行各自功能的共存状态。即:该设备不会由于受到同一电磁环境中其他设备的电磁发射导致或遭受不允许的降级”。电磁兼容性就是使处于同一电磁场环境下的各种电子电气设备或系统能够正常工作而互不干扰。
辐射机理
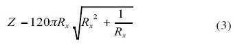
电磁场干扰是由于感应源和受感器件周围的交变电场和磁场同时存在产生的辐射电磁场,其特点是电场分量和磁场分量同时出现且相互垂直。辐射的电磁场之特性是由辐射源的特性来决定的。源的周围介质以及源与观察点之间的距离等都能影响电磁场的特性。在源附近的场,其特性主要决定于源的特性:当远离源的地方,场的性质主要决定于场传播时所通过的介质。因此,在电磁场辐射源的周围,可分成近场和远场两个范围,辐射源附近称近场,距离大于λ/2π的地方称远场(λ为波长)。在近场中,噪声一般是通过电容性耦合或电感性耦合方式传播到电路中。电场E对磁场H的比值常称为波阻抗(E/H)。在近场时它决定于源的特性和从源到观察点的距离,如源为大电流低电压的情况,则近场主要为磁场,以电感性耦合的噪声为主;若源为小电流高电压,则近场主要为电场,以电容性耦合的噪声为主。当频率低于1MHz时,电子线路内的噪声耦合大多是由近场所造成的。因为,根据λ/2π计算的近场范围很大,在30KHz时,近场范围可达1.6KM;在远场时,电磁波的波阻抗Z为电场强度E对磁场强度H之比,即:

其中E表示电场,H表示磁场。
如将发生源与观察点之间距离定为r;RX=λ/2π,则在近场中,当发生源主要为电场时:
其波阻抗呈高阻抗特性;而当发生源主要为磁场时:

其波阻抗仍呈高阻抗特性(符号含义同上),如图1所示。

当观察点距源大于λ/2π的远场中,介质为自由空间时,波阻抗E/H是一个常数120π,近似等于377Ω,所以在讨论远场时,可以把它看成一个具有阻抗为377Ω的平面波,近场中属于电容性耦合和电感性耦合噪声范围。在远场中,电场和磁场的方向互相垂直,但相位相同,所以它与近场不同,而向四方辐射能量,它对电子电路的干扰是通过能量的辐射方式进行的。辐射的电磁场在空间的传播是由于电场和磁场的相互作用。当空间有静电荷Q时,则产生静电场,电荷移动时则形成电流,因电磁作用又同时产生电场和磁场。
幅射源引起了周围的磁场和电场相应地改变,这种变化在空间中的传播就是电磁波,其传播速度与光速相等,这方面的论述和研究较少。无线电广播、通讯设备和其它高频设备工作时,有很大功率的电磁波辐射,在此环境内的电器设备上会产生正比于电场强度的感应电动势U:U=heff
其中heff为比例长数或天线的有效高度。
较长的导线,信号输入线、输出线、控制线、电源线等在电磁场中都能接收电磁波而感应出噪声电压。作为噪声源,这些导线又能辐射出电磁波造成二次噪声污染。在大功率广播设备附近的强电场中,电子设备的外壳或内部的导线、导体都会感应出很强的感应电动势,导致对电路的干扰。抑制辐射最主要的方法是采用屏蔽,即对两个空间区域之间加以金属隔离,电容性耦合可将金属接地进行静电屏蔽,对于电感性耦合,则采用一般的电磁屏蔽。而对于远场中的电磁波也同样可以用金属体进行隔离,以阻止这种噪声的传播。
屏蔽的效果与频率、屏蔽体的几何形状、材料性质等因素有关,在分析这些因素并在实际应用屏蔽措施时,金属屏蔽体对辐射波的衰减作用的机理研究尤为重要。金属板屏蔽体对电磁波的衰减可由图2来说明,当电磁波Ei入射到金属板上时,一部分由AB表面AB反射,另一部分进入金属体内,而在途中被不断衰减后达CD面,这时其中又有一部分经E1透过CD面从金属板内穿出,另一部分则由CD面反射,仍在金属板内部传播,同样有一部分穿过AB面穿出,一部分仍在AB面反射。这样在金属板内多次反射和传播,则透过金属屏蔽的电磁波总和E-En=Et。

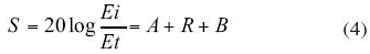
金属屏蔽板的屏蔽效果是用透过金属板后的波Et和入射波E1强度之比表示(Et/E1)。无限大的屏蔽平板对于平面波入射时的屏蔽效果可用S表示:

其中:A为厚度为t的屏蔽板内电磁波传输中的损耗;B为反射损耗系数;R为入射损耗系数;S的单位为dB。
实例分析
一般常用材料的在不同频率下的屏蔽效果如表1所示。从表1可以看出较薄的金属箔也有100dB以上的屏蔽效果。

吸收损耗A大于10dB,修正系数B可忽略不计。一般在远场中B也可忽略不计。因为这时的反射损耗很高,B与它相比非常小。对于远场中的反射损耗R,随屏蔽阻抗降低而增大。所以应设法减少屏蔽阻抗,这可用高导电率和低导磁率的材料。对于吸收损耗A,由于电磁辐射通过介质时,感应的电流产生电阻热量损耗,其幅度以指数方式衰减,当它衰减到入射时的1/e或37%,此点离入射点的距离定义为集肤深度δ,铜、铝、钢列于表2。图3是远场内厚度为0.508mm的铜材料的屏蔽效果图。


结果讨论
a.集肤深度随频率增高而减小,电磁波衰减到原来的37%时集肤深度就已很小。
b.铜屏蔽壳体在频率为0.5MHz时,其衰减到1/100的透入深度只在距表面约0.4mm处,而铝则在约0.6mm处,钢在约l.0mm处。
c.在高频范围内,采用厚度0.5~1.5mm的金属材料作屏蔽效果较为理想。
d.使用铁磁性作屏蔽体适用于100KHz以下。
e.屏蔽效果由反射损耗R决定。
吸收损耗与屏蔽介质厚度成正比,与集肤深度成反比。从频率角度看,吸收损耗随频度增加而增加,这是由于集肤深度随频率增加而减小造成的。反射损耗从图3可以看出将随频率增加而降低,而吸收损耗随频率的增加而增加,最小的屏蔽效果出现在中频频率。对于低频平面波的大量衰减是由于反射损耗,而高频时大量损耗是由于吸收损耗。
屏蔽高频电磁场辐射,其屏蔽体材料和厚度的选择,可从取得较好的屏蔽性能出发,往往优先考虑屏蔽体的机械强度、弯曲易加工性、弹性零件的尺寸稳定性以及接触电阻等因素来满足需要,同时还要综合考虑屏蔽体的外形尺寸、所受磁场方向、漏磁、接地点等问题。
EMC电磁兼容设计培训套装,视频教程,让您系统学习EMC知识...

