- 易迪拓培训,专注于微波、射频、天线设计工程师的培养
开关电源的EMI设计实例
主要器件参数的设定
确定变压器参数
电路的正激励电压U为300 V,根据芯片的反向耐压参数和可靠性要求,反激电压设为200 V。开关周期为10μs,因此,其中正激励时间为t1=4.0 μs,反激励时间为t2=6.0 μs。按照15 W反激励输出功率计算,每一个周期里变压器储能应该达到150μJ,即Li1m2=300μJ而Lilm=U1t1,所以有:
式中:i1m为变压器初级线圈的最大电流值(单位:A)。可以算得变压器初级绕组的电感量L0应该达到4.8 mH。若该电感量取得再大一些也可以,只是反激励能量会减小,要更多地依靠正激励输出。
对于变压器初级绕组的匝数.按照40 W输出功率的要求,变压器可以采用E128锰锌铁氧体磁芯,其平均磁路长度为56 mm,中心磁芯截面积Ae1为77 mm2。这一规格的变压器为了避免磁芯出现磁饱和,初级绕组的最少匝数为:
Bmax是变压器磁芯允许的最大磁感应强度。为了达到4.8 mH电量的初级绕组匝数:

显然,绕制75匝磁路闭合时已接近磁饱和状态。为了可靠起见,增加初级绕组匝数,控制在80~100匝间,这里取为100匝。同时,在磁路中设置气隙以增加磁路磁阻Rm。气隙厚度通常根据实际测试情况确定。这类单极性激励电路将变压器输出绕组设计成不对称结构。根据输出20 V输出电压的限制,输出绕组n4反激电压定为21 V,变比n=200:21=9.5。反激励输出绕组n4的匝数根据变压比可确定为各11匝;输出绕组n3正激电压定为20/0.4=50 V。正激励输出绕组n3的匝数为100x 50/300=16匝;反馈电压采用反激励输出,以稳定输出电压值。按照200:15计算,绕组的匝数为8匝。按照以上这些参数,合理绕制变压器。
确定第一级滤波电感参数
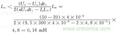
第一滤波电感的电感量确定原则是:在变压器的正激励期间,滤波电感中形成的励磁电流i4足以维持变压器雄姿磁芯中励磁的需要。如果是大电流输出,按连续滤波考虑,L4的电感量取值为:

式中:n是变压器的反激匝比,在此为9.5;U1是原边正激励电压;U2是副边正激励电压;U0是电源输出的直流电压。如果是小电流输出,按断续滤波考虑,L4的电感量为:
考虑不同输出电流均能符合续流要求,第一滤波电感L4的电感量可以取为45μH,这一电感量不能取得过小。
滤波器磁芯的材料一般采用粉芯磁环,它比铁氧体磁芯的储能值大。若选用φ22铁粉芯磁环,其平均磁路长度为50 mm,磁芯横截面积Ac2为6×11 mm2,相对磁导率为70。达到50μH的线圈匝数为:

滤波器不饱和最大工作电流与磁芯材料的关系为Imax=(BmaxAe2Rm/N)=(Bmaxl/μ0μτN)。由此算得允许的最大工作电流为16 A,远大于电源的实际输出电流,不会出现磁饱和,可以放心使用。该滤波实际在φ22铁粉芯磁环上绕26匝,实测为0.048 mH。
确定其他主要元件参数
第二级滤波电感器也采用同规格的铁粉芯磁环,在不出现磁饱和的条件下,电感量以大为好,一般要达到100μH以上。
滤波电容的容量在体积与成本许可的条件下,以大为好,一般取1 000μF左右。而且要将电解电容器与高速的CBB电容顺联合使用,以提高高频脉冲的滤波能力。
高频整流二极管应采用快恢复管或者肖特基管,否则,开关噪声还是难以消除。各二极管的最大整流电流值在2 A以上,反向耐压参数在80 V以上。为了降低共模传导和辐射骚扰,开关电源在装配时应该保证高频交流信号共地结构,采取有效的电磁屏蔽等措施。
电源测试与效果
这一例开关电源电磁骚扰抑制技术主要依靠变压器与滤波器互相协调工作实现的,可以称之为系统互补抑制噪声技术。该电源经过实验室测试,其输出噪声相比采用同样器件的常规电源低得多。图3是两者输出端口噪声电压波形的比较,其中,图3(a)是普通电路的效果,图3(b)是系统互补抑制噪声技术的效果。在图3(b)中的噪声波形已经包含部分共模辐射噪声波形(淡灰色部分),实际差模噪声电压比图中的幅度还要小,在20 mV以下。这一点可以将示波器探头芯线与地线短接后,单点连接电源输出端显示波形加以证明。如果是差模电压,不会在单点连接时显示在示波器上,共模噪声电压则会显示。而且,不管连接在正极还是负极上,显示波形幅度与特征均相同。共模噪声幅度需要在接地方式和加装外屏蔽壳进行抑制。

图题:电源输出噪声波形比较
系统互补抑制噪声技术可以大幅度地降低差模噪声电压输出。从开关器件上电流、电压变化的特点上看,这一种设计实际是降低了开关器件的硬特性要求,对于提高电路的工作效率也十分有效。所制作的整个电源装置发热情况比较理想,说明工作效率较高。开关电源产生电磁骚扰的最主要原因是开关器件上的电流发生突变,合理使用电感器可以很好地抑制这种电磁骚扰。
以上重点对于一种新的抑制电磁骚扰技术进行设计,开关电源的电磁噪声产生的因素有很多,应该有针对性地逐个加以排除,才能获得性能比较完善的电源装置。
EMC电磁兼容设计培训套装,视频教程,让您系统学习EMC知识...
射频工程师养成培训教程套装,助您快速成为一名优秀射频工程师...
上一篇:如何利用扩展频谱方法减少EMI?
下一篇:关于汽车电磁兼容性分析软件

