- 易迪拓培训,专注于微波、射频、天线设计工程师的培养
精华集粹【一】:PCB任意角度布线的巧思及优势
录入:edatop.com 点击:
任意角度布线的优势
任意角度布线有许多优势。首先,不使用线段间的角度可以节省PCB空间(多边形所占的空间总是要大于内切圆)。
传统的自动布线器在紧邻元件之间只能布3根线(见图1中的左边和中间)。而任意角度布线时的空间足以在相同路径上布4根线而不违反设计规则检查(DRC),见图1右边。

图1:左边和中间的图:传统自动布线器在紧邻元件之间只能布3根线。右图:任意角度布线时的空间足以在相同路径上布4根线而不违反DRC。
假设我们有一个正方式芯片,想把芯片引脚连接到另外两列引脚(见图2)。只使用90度夹角要占很大的面积(见图2顶部)。



[p]
使用任意角度布线可以缩短芯片和其它引脚之间的距离(图2中间),同时减小占用面积。在本例中,面积从30cm2缩小到了23cm2。
任意角度旋转芯片还可以提供更好的效果。在本例中,面积从23 cm2缩小到了10 cm2(图2底部)。图3显示了一块真实的PCB。带旋转芯片功能的任意角度布线是这种电路板的唯一布线方法。这不仅是一个理论,也是得到实际应用的解决方案(有时是唯一可行的解决方案)。

图3:带旋转芯片功能的任意角度布线是给这种电路板布线的唯一方法。



电磁干扰(EMI)
如果没有并行导线段,版图性能将得到很大的提升,因为并行导线段经常是串扰的来源。随着并行导线长度的增长,串扰等级将呈线性增加。当并行导线之间的间距增加时,串扰则呈二次方减小。让我们把两条并行的1mm长导线在间距为d时所产生的串扰等级设为e。
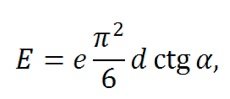
如果导线段之间有个夹角,那么当这个夹角增加时,串扰等级将下降。这时的串扰不取决于导线长度,仅受限于夹角值:

其中α代表导线段之间的夹角。

下面考虑三种导线布线方式。在图6中的左边(90度布局),由于并行线段而存在最大的导线长度和最大的电磁干扰值。在图6的中间(45度布局),导线长度和电磁干扰值都减小了。在图2的右边(任意角度),导线长度最短,也没有并行的导线段,因此干扰值可以忽略不计。

图6:三种导线布线方式。
因此任意角度布线有助于减小总的导线长度,并显著减少电磁干扰。另外你应该还记得对信号延时的影响吧(导线方向不应该并行,并且不应该垂直于PCB玻璃纤维方向)。
相关阅读:
【PCB设计小贴士3】轻松搞定“PCB布线设计“的经验之谈
【PCB设计小贴士2】PCB布线设计的经验之谈
【PCB设计小贴士1】PCB布线设计的经验之谈
EMC电磁兼容设计培训套装,视频教程,让您系统学习EMC知识...

