- 易迪拓培训,专注于微波、射频、天线设计工程师的培养
电子产品电磁兼容测试之二:EMC测试场地之一般要求
如何有效地量测出实际待测产品设备溢出之杂讯,与产生类似EMI之干扰源,用来验证待测产品设备之电磁耐受性,都是EMC工程人员所必须掌握。因此,为了模拟复杂电磁杂讯环境及保证EMC测试结果之重复性、准确性和可靠性,EMC测试对环境有较高之需求,测试场地可分为隔离室(包含 TEM/GTEM Cell等积向电磁波EMC测试室)、电波暗室和室外开放测试区之场地(open Area Test Site,OATS)等。这些EMC测试场地之功能、建材和限制条件简述如下 :就隔离室而言,隔离室之作法一方面是对外来电子电机干扰加以屏蔽,从而保证室内电磁杂讯环境满足要求,另一方面是对内部如天线等发射源进行屏蔽而不对外界造成干扰。
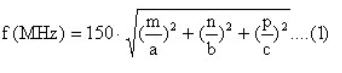
MIL-STD-461及其它相关电磁相容性标准规定,许多测试项目必须在隔离室内进行,隔离室为一个由金属材料做成之六面体,其建材形式为镀锌钢板式、铜网式、多层复合金板式等等不胜枚举。影响隔离室性能之主要原因有:屏蔽门、屏蔽材料、电源滤波器、通风波导、安装及焊接接缝、接地等。从屏蔽效益来看,钢板式最好,在10kHz至18GHz频率范围,可满足屏蔽效益80~120dB之要求。在使用隔离室进行电磁相容性测试时,要注意隔离室之共振及反射。根据电磁理论,隔离室是一个很大之方形波导共振腔,具有一系列之电磁共振频率,当隔离室发生共振时,将会影响屏蔽效益及测试结果,隔离室基本共振频率公式为:

式中f为共振频率(MHz),a,b,c为隔离室之长、宽、高度(公尺);m,n,p为0及正整数,三者中最多只能一个为零,对于TE波m不能为零,举例来说,商用长、宽、高9x6x6立方厘米之隔离室基本TE101波之共振频率约为30MHz。由式(1)可见,隔离室有许多个共振频率,当隔离室共振时,其屏蔽效益大幅下降,并且会造成很大之测试误差,因此在进行EMC测试时应避免这些共振频率。天线等发射源将会在隔离室壁面上产生多重反射,从而影响测试结果,往往误差大到30~40dB,为此在条件许可之各种状况下,在体积较大之隔离室内进行测试,同时使待测件在保证入射为平面波之前提下,缩短待测件与接收天线之距离,对于最近之反射路径,针对反射点局部加贴吸波材料,可以减少反射波。
就电波暗室(全电波暗室或半电波暗室)而言,全电波暗室是针对一般隔离室各内壁面反射,将会影响测试结果,因而在六个壁面上,加装吸波材料而形成之隔离室(为了模拟室外开放测试区之场地测试,接地地板上不贴吸波材料之电波暗室称为半电波暗室)。吸波材料一般采用介质损耗型(如聚氨脂类之泡沫塑料,亚铁磁砖等),为了确保其耐燃烧特性需在碳酸溶液中渗透,吸波材料通常作成圆锥状、棱角锥状及方楔形状,以保持连续渐变之焦耳阻抗。军用MIL-STD-462D规范对吸波材料之最小吸收量有所规定,即频率80MHz~250MHz至少6dB,频率大于250MHz则至少10dB以上。而为了保证内部测试场之均匀,吸波体之长度相对于隔离室工作频率下限,
所对应之波长要足够长(1/4波长效果较好),吸波体之体积也会限制吸波材料之有效工作频率(一般在30MHz以上)减小了隔离室之有效空间,电波暗室之屏蔽效益要求与隔离室相同。此外,商规EMC测试对电波暗室之场地衰减 (Site Attenuation,SA) 规定NSA (Normalized SA)要在理论值±4dB之范围;对电波暗室内部测试场强之均匀度,则要求执行16点场强之均匀度校正试验,此试验之测试方法详加说明如图,发射天线与待测场强之均匀面(1.5m×1.5m)相距3公尺,16点均匀面正方形(4点×4点,点距0.5m)场强之均匀度,至少要求其中12点 (75%) 要符合规格需求,这种测试方法与1993年版之军用MIL-STD-462D规范要求相当就室外开放测试区之场地(OATS)而言,开放测试区之场地通常用于精确测量待测件之发射极限值,OATS要求平坦开阔,远离建筑标地、塔台、电线、树林、地下电缆和金属管道,环境电磁干扰背景要很小(如一般电磁相容性标准和规范要求至少低于允许之极限值6dB),接地地板可为钢板或其他低阻金属结构,场地尺寸在不同之EMC标准和规范要求不尽相同。
EMC电磁兼容设计培训套装,视频教程,让您系统学习EMC知识...
射频工程师养成培训教程套装,助您快速成为一名优秀射频工程师...
上一篇:国内外电动汽车电磁兼容测试标准体系比对与研究
下一篇:电子产品电磁兼容测试之一:EMC测试范围与所采用的标准和规范

