- 易迪拓培训,专注于微波、射频、天线设计工程师的培养
EMC测量中不确定度的分析与评估
录入:edatop.com 点击:
摘要:针对EMC(电磁兼容性)测量中引起测量不确定度的因素复杂难辨性,通过对EMC测量进行分类和特点的分析,提出了EMC测量误差源定性、定量结合的分析识别方法,及不确定度分量相关性排除方法。在不确定度因素识别的基础上,对EMC测量不确定度的评估给出了步骤和方法。
关键词:EMC;不确定度;识别;评估
1 引言
在一般测量中,一个完整的测量结果应由测量观测值和测量结果的不确定度相辅说明。但在EMC的测量中,不仅引起不确定度的因素众多,复杂难辨,而且对于不确定度评估结果的应用有些也异于一般测量。
2 EMC测量的分类及特点
EMC的测量可分为两类:一类是骚扰性强度的测量,例如传导骚扰(电压)、骚扰功率(能量)、辐射骚扰(场强)等。对于这一类,与其它测量一样,完整的测量结果是由测量观测值和测量结果的不确定度相辅说明;另一类则是抗扰性能力的测量,例如静电放电、辐射抗扰度、电快速瞬变脉冲群抗扰度、雷浪涌抗扰度、传导抗扰度、电压暂降、短时中断和电压变化抗扰度、工频磁场抗扰度等。对于这一类,由于测量对试品并没有明确的一个被测量,因此也就不会有相应的测量输出值,对这一类的测量应理解为通过性试验。这里评估的不确定度则为通过性试验的不确定度,在考虑了不确定度后,通过与标准要求的误差比较或以评估得出的不确定度为依据,提高试验干扰幅度,对通过性试验的置信度给出结果。在EMC的两类测量中,虽然评估得到的不确定度在测量结果的说明上用途不一样,但对不确定度测量结果的结论都是重要和必要的数据。
3 测量误差源的识别
在EMC测量中,引起测量不确定度的因素很多,这些因素有些已被人们认识,而有些因素人们可能还认识不足,并且在被认识的因素中各因素的表现在不同的测量中其主导性也会变化。因此,首先正确识别这些误差源,对于测量误差的控制和分析,计算测量的不确定度就是基础和依据了。
3.1定性识别的方法
定性识别误差源是一种较粗略但快捷的方法,它可快速罗列出影响测量结果的诸因素,并为下步定量分析识别提供依据。现提出几种方法供参考。
(1)流程图法
这是一种按测量原理、设备仪器内部结构原理、测试设备的连接顺序、信号的性质及传输路径等,从前到后顺序跟踪分析的方法。例如对试品辐
射骚扰测量不确定度起因的可能因素可以用流程图的方法定性排查。该测量原理的等效连接框图如图1所示。

图1辐射骚扰测量等效连接图
从试品EUT开始从左向右逐个分析各单元中有什么因素会对测量结果有影响,并将找出的误差源标注在流程图上。
如对EUT分析,与它有关的可能因素有放置高度、辐射骚扰的方向性(即放置的方向)、辐射骚扰场强的极化特性、辐射骚扰的波形等。将这些影响因素逐一标记在流程图中EUT的下方。接着再对空间单元分析等等。最终完成流程分析如图2所示。

图2辐射骚扰测量流程图分析
(2)鱼刺图法
鱼刺图是在分析过程中错综复杂的情况下,查找问题的有力工具,在很多领域都有应用。在EMC测量中偿试采用它。EMC测量的误差源从大的方面无可例外地可分为五个方面,从这五个方面细化分析,不难识别出与对应测量相关的误差源。这五个方面分别是:设备、方法、试品、环境、人员。据此作出鱼刺图如图3所示。

图3 鱼刺图
按图对每一个方面进行详细分析,凡该方面最终会引起测量误差的因素,都要标记在该方面的引线上(鱼刺上),完成鱼剌图分析。例如,对辐射抗扰度测量作出如下误差因素分析结果,如图4所示。

图4辐射抗扰测量鱼刺图分析
(3)经验法
凭借可信的资料或专家的工作经验以及在标准的测试方法下公认的主要不确定度因素,直接提出若干与测量误差相关的
一些误差源进行分析,而忽略其他影响不大的因素。
3.2定量识别筛选
定性分性虽然可以基本罗列出各种误差源,但是对这些误差源的影响大小不一定完全掌握,而在实际中往往只重视那些影响大的因素,对影响小的,则一般忽略不计。同时定性分析也有可能把一些人们还没认识的有影响因素忽略掉,这些都需要进一步作定量识别。对定量分析识别提出以下三种方法供参考。
(1)敏感度分析识别法
对测量误差影响大小不甚掌握或还不认识的因素,可作敏感度分析。敏感度用灵敏度系数表示:
(1)
测量结果对某因素的灵敏度系数越大,敏感度就越高,相关性和影响程度就越大,反之相反。实际操作中,尽量相对固定其它变量(误差源)不变,人为使xi变化△xi,用试验或计算求出△f,最后求出Ci。为使求出的各不确定度分量的的敏感度有可比性,要求对各变量的
(相对变化率)采取同一取值。筛选时,对各分量的敏感度进行比较,注意研究和保留敏感度高且又发生变化可能性大的因素。
(2)临界点识别法
根据测量精度的要求限制,可以计算不确定度分量的临界点大小。临界点是指不确定度分量变化的一个百分数,变化幅度超过这个百分数时,则会使测量精度超出限制。显然临界点低的分量敏感度高,临界点高的敏感度低。
方法是尽量相对固定其它分量,人为逐步改变要识别的分量,观察被测量变化达到测量精度误差限值±a时,计算该不确定度分量的变化百分数,这个百分数就是它的临界点值。筛选时一般应剔除实际上随机变化不可能达到临界点及临界点≥20%时的不确定度分量。
(3)计算识别法
对一些设备、人工电源网络、电缆等,可根据说明书、检定证书等资料提供的精度、误差、不确定等数据,快速计算相关分量的标准不确定度及扩展不确定度,以判断是否保留相关误差源进行分析。
3.3相关性排除
在测量不确定度的计算中,若某不确定度分量的作用被重复计算,会引起测量不确定度计算结果的较大误差,为了避免这一点,在数学建模和计算时就要排除分量间的相关性。相关性排除可以采用以下方法:
(1)限制不确定度分量的分解程度
例如A因素可分解为B、C两因素的作用结果,而B、C间又相关,为了排除B、C间的相关性,对不确定度分量可只考虑A,而不要再分解到考虑B、C分量的层次。
(2)限制不确定度分量的个数
如果在众多不确定度分量中,尽量不计那些影响小的分量,只关注几个最关键和主要的分量时,这也就会大大减小各分量间的相关性。
(3)减少分量个数并排除相关性
对于通过分析研究可建立函数关系的两个分量,可通过函数关系的替代,减少分量个数并排除相关性。
4 测量不确定度评估
4.1建立数学模型
在EMC测量中一般很难建立起被测量与各不确定度分量间的函数关系,因此采用线性黑箱模型建模比较适合。数学模型如下:
(2)
式中:Y为测量结果;Xi为输入量,包括仪器读
数及各影响因素。
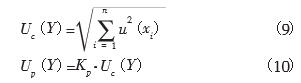
Y的合成标准不确定度便为:
(3)
式中:U(xi)为输入量xi的标准不确定度。则Y的扩展不确定度为:
(4)
式中:K为包含因子。4.2分量的标准不确定度评估
测量不确定度的计算,关键是要求出各不确定
度分量的标准不确定度U(xi)。这首先要确定每个分量是采用A类评定还是B类评定:可用统计方法获得结果的分量用A类评定,不能用统计方法获得结果的分量用B类评定。
(1)对于采用A类评定的不确定度分量,做多次(至少6次)重复性试验,就可以得到一组观测列:
观测列:
期望值:
(5)
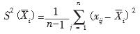
方差:
(6)
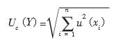
则A类输入量xi的标准不确定度为:
(7)
(2)对于采用B类评定的不确定度分量,其标准不确定度一般采用下面的式 (8)计算:
(8)
式中:a为B类分量的最大误差值、变化区间的半宽、不确定度等;
ki为输入量xi对应的包含因子。下面介绍a值的确定方法。
理论分析:通过理论分析,计算出不确定度分量的变化区间半宽或极限误差。例如试品位置误差引起的辐射骚扰场强测量的的极限误差,可通过确定试品位置误差的极限值并根据场强与距离的关系公式进行分析计算得出a值。
查资料:从设备的证书、手册、技术说明书、检定报告、校准报告等资料中查找示值误差、最大允许误差、重复性、复现性、不确定度等数据,取得a值。
参考《EMC检测领域不确定度评估指南》(CNAS-GLO7)中给出的数据。
再介绍包含因子ki的确定办法。
首先估计该不确定度分量的变化规律(概率分布),其次根据分布类型查找包含因子ki值,如表1所示。
4.3计算EMC测量的不确定度
在求出各不确定度分量Xi的标准不确定度的基础上,就可算出测量的标准合成不确定度和扩展不确定度:

式中:Kp为置信度为P时的扩展因子,需要计算或查表获得,在《EMC检测领域不确定的评估指南》(CNAS-GLO7)中,Kp值一般均取2。
表1根据分布类型查找包含因子ki值

5 测量不确定度评估结果的应用
对评估获得的骚扰类测量不确定度的结果,是用来说明测量值结果的:
(11)
P为置信度对评估获得的抗扰类测量不确定度的结果,一般是用来判定通过性试验的可靠性的:一种是类似静电放电试验类的,它是以考虑不确定度在最坏情况下,试验值是否在标准规定的允许误差限以内作为试验是否真正通过的判据;另一种是类似辐射抗扰度类的试验,它是在考虑不确定度后,以提高施扰强度抵消不确定影响,来保证通过性试验的可信度。
参考文献:
[1]中国合格评定国家认可委员会.EMC检测领域不确定度的评估指南.2006.
关键词:EMC;不确定度;识别;评估
1 引言
在一般测量中,一个完整的测量结果应由测量观测值和测量结果的不确定度相辅说明。但在EMC的测量中,不仅引起不确定度的因素众多,复杂难辨,而且对于不确定度评估结果的应用有些也异于一般测量。
2 EMC测量的分类及特点
EMC的测量可分为两类:一类是骚扰性强度的测量,例如传导骚扰(电压)、骚扰功率(能量)、辐射骚扰(场强)等。对于这一类,与其它测量一样,完整的测量结果是由测量观测值和测量结果的不确定度相辅说明;另一类则是抗扰性能力的测量,例如静电放电、辐射抗扰度、电快速瞬变脉冲群抗扰度、雷浪涌抗扰度、传导抗扰度、电压暂降、短时中断和电压变化抗扰度、工频磁场抗扰度等。对于这一类,由于测量对试品并没有明确的一个被测量,因此也就不会有相应的测量输出值,对这一类的测量应理解为通过性试验。这里评估的不确定度则为通过性试验的不确定度,在考虑了不确定度后,通过与标准要求的误差比较或以评估得出的不确定度为依据,提高试验干扰幅度,对通过性试验的置信度给出结果。在EMC的两类测量中,虽然评估得到的不确定度在测量结果的说明上用途不一样,但对不确定度测量结果的结论都是重要和必要的数据。
3 测量误差源的识别
在EMC测量中,引起测量不确定度的因素很多,这些因素有些已被人们认识,而有些因素人们可能还认识不足,并且在被认识的因素中各因素的表现在不同的测量中其主导性也会变化。因此,首先正确识别这些误差源,对于测量误差的控制和分析,计算测量的不确定度就是基础和依据了。
3.1定性识别的方法
定性识别误差源是一种较粗略但快捷的方法,它可快速罗列出影响测量结果的诸因素,并为下步定量分析识别提供依据。现提出几种方法供参考。
(1)流程图法
这是一种按测量原理、设备仪器内部结构原理、测试设备的连接顺序、信号的性质及传输路径等,从前到后顺序跟踪分析的方法。例如对试品辐
射骚扰测量不确定度起因的可能因素可以用流程图的方法定性排查。该测量原理的等效连接框图如图1所示。
图1辐射骚扰测量等效连接图
从试品EUT开始从左向右逐个分析各单元中有什么因素会对测量结果有影响,并将找出的误差源标注在流程图上。
如对EUT分析,与它有关的可能因素有放置高度、辐射骚扰的方向性(即放置的方向)、辐射骚扰场强的极化特性、辐射骚扰的波形等。将这些影响因素逐一标记在流程图中EUT的下方。接着再对空间单元分析等等。最终完成流程分析如图2所示。

图2辐射骚扰测量流程图分析
(2)鱼刺图法
鱼刺图是在分析过程中错综复杂的情况下,查找问题的有力工具,在很多领域都有应用。在EMC测量中偿试采用它。EMC测量的误差源从大的方面无可例外地可分为五个方面,从这五个方面细化分析,不难识别出与对应测量相关的误差源。这五个方面分别是:设备、方法、试品、环境、人员。据此作出鱼刺图如图3所示。

图3 鱼刺图
按图对每一个方面进行详细分析,凡该方面最终会引起测量误差的因素,都要标记在该方面的引线上(鱼刺上),完成鱼剌图分析。例如,对辐射抗扰度测量作出如下误差因素分析结果,如图4所示。

图4辐射抗扰测量鱼刺图分析
(3)经验法
凭借可信的资料或专家的工作经验以及在标准的测试方法下公认的主要不确定度因素,直接提出若干与测量误差相关的
一些误差源进行分析,而忽略其他影响不大的因素。
3.2定量识别筛选
定性分性虽然可以基本罗列出各种误差源,但是对这些误差源的影响大小不一定完全掌握,而在实际中往往只重视那些影响大的因素,对影响小的,则一般忽略不计。同时定性分析也有可能把一些人们还没认识的有影响因素忽略掉,这些都需要进一步作定量识别。对定量分析识别提出以下三种方法供参考。
(1)敏感度分析识别法
对测量误差影响大小不甚掌握或还不认识的因素,可作敏感度分析。敏感度用灵敏度系数表示:
(1)测量结果对某因素的灵敏度系数越大,敏感度就越高,相关性和影响程度就越大,反之相反。实际操作中,尽量相对固定其它变量(误差源)不变,人为使xi变化△xi,用试验或计算求出△f,最后求出Ci。为使求出的各不确定度分量的的敏感度有可比性,要求对各变量的
(2)临界点识别法
根据测量精度的要求限制,可以计算不确定度分量的临界点大小。临界点是指不确定度分量变化的一个百分数,变化幅度超过这个百分数时,则会使测量精度超出限制。显然临界点低的分量敏感度高,临界点高的敏感度低。
方法是尽量相对固定其它分量,人为逐步改变要识别的分量,观察被测量变化达到测量精度误差限值±a时,计算该不确定度分量的变化百分数,这个百分数就是它的临界点值。筛选时一般应剔除实际上随机变化不可能达到临界点及临界点≥20%时的不确定度分量。
(3)计算识别法
对一些设备、人工电源网络、电缆等,可根据说明书、检定证书等资料提供的精度、误差、不确定等数据,快速计算相关分量的标准不确定度及扩展不确定度,以判断是否保留相关误差源进行分析。
3.3相关性排除
在测量不确定度的计算中,若某不确定度分量的作用被重复计算,会引起测量不确定度计算结果的较大误差,为了避免这一点,在数学建模和计算时就要排除分量间的相关性。相关性排除可以采用以下方法:
(1)限制不确定度分量的分解程度
例如A因素可分解为B、C两因素的作用结果,而B、C间又相关,为了排除B、C间的相关性,对不确定度分量可只考虑A,而不要再分解到考虑B、C分量的层次。
(2)限制不确定度分量的个数
如果在众多不确定度分量中,尽量不计那些影响小的分量,只关注几个最关键和主要的分量时,这也就会大大减小各分量间的相关性。
(3)减少分量个数并排除相关性
对于通过分析研究可建立函数关系的两个分量,可通过函数关系的替代,减少分量个数并排除相关性。
4 测量不确定度评估
4.1建立数学模型
在EMC测量中一般很难建立起被测量与各不确定度分量间的函数关系,因此采用线性黑箱模型建模比较适合。数学模型如下:
式中:Y为测量结果;Xi为输入量,包括仪器读
数及各影响因素。
Y的合成标准不确定度便为:
(3)式中:U(xi)为输入量xi的标准不确定度。则Y的扩展不确定度为:
式中:K为包含因子。4.2分量的标准不确定度评估
测量不确定度的计算,关键是要求出各不确定
度分量的标准不确定度U(xi)。这首先要确定每个分量是采用A类评定还是B类评定:可用统计方法获得结果的分量用A类评定,不能用统计方法获得结果的分量用B类评定。
(1)对于采用A类评定的不确定度分量,做多次(至少6次)重复性试验,就可以得到一组观测列:
观测列:
期望值:
(5)方差:
则A类输入量xi的标准不确定度为:
(2)对于采用B类评定的不确定度分量,其标准不确定度一般采用下面的式 (8)计算:
式中:a为B类分量的最大误差值、变化区间的半宽、不确定度等;
ki为输入量xi对应的包含因子。下面介绍a值的确定方法。
理论分析:通过理论分析,计算出不确定度分量的变化区间半宽或极限误差。例如试品位置误差引起的辐射骚扰场强测量的的极限误差,可通过确定试品位置误差的极限值并根据场强与距离的关系公式进行分析计算得出a值。
查资料:从设备的证书、手册、技术说明书、检定报告、校准报告等资料中查找示值误差、最大允许误差、重复性、复现性、不确定度等数据,取得a值。
参考《EMC检测领域不确定度评估指南》(CNAS-GLO7)中给出的数据。
再介绍包含因子ki的确定办法。
首先估计该不确定度分量的变化规律(概率分布),其次根据分布类型查找包含因子ki值,如表1所示。
4.3计算EMC测量的不确定度
在求出各不确定度分量Xi的标准不确定度的基础上,就可算出测量的标准合成不确定度和扩展不确定度:

式中:Kp为置信度为P时的扩展因子,需要计算或查表获得,在《EMC检测领域不确定的评估指南》(CNAS-GLO7)中,Kp值一般均取2。
表1根据分布类型查找包含因子ki值

5 测量不确定度评估结果的应用
对评估获得的骚扰类测量不确定度的结果,是用来说明测量值结果的:
P为置信度对评估获得的抗扰类测量不确定度的结果,一般是用来判定通过性试验的可靠性的:一种是类似静电放电试验类的,它是以考虑不确定度在最坏情况下,试验值是否在标准规定的允许误差限以内作为试验是否真正通过的判据;另一种是类似辐射抗扰度类的试验,它是在考虑不确定度后,以提高施扰强度抵消不确定影响,来保证通过性试验的可信度。
参考文献:
[1]中国合格评定国家认可委员会.EMC检测领域不确定度的评估指南.2006.
EMC电磁兼容设计培训套装,视频教程,让您系统学习EMC知识...
射频工程师养成培训教程套装,助您快速成为一名优秀射频工程师...
上一篇:三相五线耦合去耦网络仪器参数介绍
下一篇:照明产品电磁兼容三环辐射测试介绍

