- 易迪拓培训,专注于微波、射频、天线设计工程师的培养
产品EMC辐射超标原因分析
造成EMC辐射超标的原因是多方面的,接口滤波不好,结构屏效低,电缆设计有缺陷都有可能导致辐射发射超标,但产生辐射的根本原因却在PCB的设计。从EMC方面来关注PCB,主要关注这几个方面:
1. 从减小辐射骚扰的角度出发,应尽量选用多层板,内层分别作电源层、地线层,用以降低供电线路阻抗,抑制公共阻抗噪声,对信号线形成均匀的接地面,加大信号线和接地面间的分布电容,抑制其向空间辐射的能力。
2. 电源线、地线、印制板走线对高频信号应保持低阻抗。在频率很高的情况下,电源线、地线、或印制板走线都会成为接收与发射骚扰的小天线。降低这种骚扰的方法除了加滤波电容外,更值得重视的是减小电源线、地线及其他印制板走线本身的高频阻抗。因此,各种印制板走线要短而粗,线条要均匀。
3. 电源线、地线及印制导线在印制板上的排列要恰当,尽量做到短而直,以减小信号线与回线之间所形成的环路面积。
4. 电路元件和信号通路的布局必须最大限度地减少无用信号的相互耦合。
在PCB的不同的设计阶段所关注的问题点不同。
在元器件布局阶段需要注意:
1. 接口信号的滤波、防护和隔离等器件是否靠近接口连接器放置,先防护,后滤波;电源模块、滤波器、电源防护器件是否靠近电源的入口放置,尽可能保证电源的输入线最短,电源的输入输出分开,走线互不交叉;
2. 晶体、晶振、继电器、开关电源等强辐射器件或敏感器件是否远离单板拉手条、连接器;
3. 滤波电容是否靠近IC的电源管脚放置,位置、数量适当;
4. 时钟电路是否靠近负载,且负载均衡放置;
5. 接口滤波器件的输入、输出是否未跨分割区;除光耦、磁珠、隔离变压器、A/D、D/A等器件外,其它器件是否未跨分割区;
在PCB布线阶段需要注意:
1. 电源、地的布线处理无地环路,电源及与对应地构成的回路面积小;
2. 差分信号线对是否同层、等长、并行走线,保持阻抗一致,差分线间无其他走线;
3. 时钟等关键信号线是否布内层(优先考虑优选布线层),并加屏蔽地线或与其他布线间距满足3W原则,关键信号走线是否未跨分割区;
4. 是否无其他信号线从电源滤波器输入线下走线,滤波器等器件的输入、输出信号线是否未互相并行、交叉走线;
尽管我们制定了种种PCB布局布线规则,但是在实现这些规则的时候,无论我们如何努力,设计中的缺陷总是象病魔一样挥之不去。因为实际设计的时候总会存在这样或者那样的原因使得我们无法完全满足设计规则。但是往往这些无法满足规则的地方给以后的认证带来麻烦:
1. 辐射源距离接口太近
最典型的辐射源莫过于晶振,每一个PCB工程师都知道晶振应该远离I/O接口,但是产品设计工程师所要求的PCB往往尺寸有限,器件繁多,于是在经过种种考虑后,PCB工程师“不得不”把晶振放置在了I/O接口处。无论在其他地方化了多少心思去考虑EMC,一个不合理布局的晶振会很轻易将你的努力毁于一旦。
在PCB设计时首先要考虑辐射源的排放位置,尽量远离拉手条和电源输入端口。对于晶振,在PCB上的影射区域一定要铺铜处理,其输出端引线不允许走PCB的表层,应走在内层(如能再做包地走线处理则更为理想)。另外,PCB层划分和分层也是影响辐射发射指标的一个关键因素,应该结合单板的具体情况统筹考虑处理。
经典案例描述
M产品进行EMC摸底测试,发现在50MHz、75MHz频点严重超标,在100MHz、125MHz……等25MHz的倍频点的幅值也很大,接近CLASS A级限值线。
由幅值较高的频点均为25MHz倍频的实验现象,怀疑设备内部存在25MHz晶振并且对该晶振的处理不当。经查,发现有两种接口板上有25MHz晶振。近场探测证实正是这两块板附近25MHz的倍频点发射较大。检查单板的PCB,发现PCB及对晶振的处理主要存在以下缺陷:
1) 晶振距离拉手条过近;
2) 晶振输出端引线在PCB的表层上走了很远一段距离;
3) 晶振在PCB上的影射区域没有完整的铺铜;
4) 晶振距离电源输入端口距离过近;
5) PCB分层不合理,其中一块6层板只有一层是作了很多分割的地层。
这些因素为晶振上的骚扰提供了传播途径,骚扰可以通过临近的走线和电源线耦合到其他单板和电缆,同时还可以通过空间直接耦合到机盒外,引起辐射发射超标。
在晶振的外壳上用铜箔进行局部屏蔽和接地处理后重新测试,100MHz~300MHz之间的25MHz的谐波基本消除,50MHz和75MHZ频点的幅值也大幅下降了近10dB,可以达到指标的要求,测试通过。
2. 关键信号线未布内层
关键信号线特别是时钟线要走内层也是PCB布线的一个基本常识。但是哪些线属于关键信号线呢?人们往往十分注意从晶体、晶振、时钟驱动器里面出来的时钟线,却往往忽视了另一类具有周期性质的走线——譬如特定的地址线。
对于周期性信号线不仅仅自身要避免在表层过多走线,而且对于在内部与之并行临近的走线也要考虑是否允许通过过孔走出内层。
经典案例描述 - 37.5M 辐射点高
某产品在RE测试时候,在37.5M处存在较大的辐射,测试曲线如下:
因为37.5M是12.5M的3倍频,我们怀疑与板上25M晶振有关,于是将输出端33ohm电阻断开,结果37.5M辐射没了,附近频段也很干净。这说明37.5M频点确实和25M时钟有关。
经过分析,我们发现37M时钟流向图如下:
FPGA出来的A0、A1、A2、A3、A4地址线,在无业务状态下,根据协议要求 A3/A4将产生规则的01010101......交替信号, 由25M时钟上升沿触发, 其频率是12.5MHz。 37.5MHZ正是其3次谐波。而协议要求A0 A1 A2电平每变化一次要加入1F,其信号不是周期性变化的方波。 由于我们一般认为地址线的干扰较小,不会产生周期性干扰,所以在PCB布局布线时没有注意,走在表面层,并且走线很长,到达背板后延伸至其他单板。实际这两位地址线中的信号却是周期性的矩形波,与时钟信号波形完全相同。较长的走线,周期性变化的信号,加上表面走线导致这一段线路的辐射超标。测试时候我们切断A3 A4两根地址线的始端匹配电阻,37.5M干扰消失,证明了我们的判断是正确的。
在后来的改板中纠正了设计缺陷后,37.5M干扰不再出现。
电源地平面分割不合理
在测试的时候,电源地的分割问题也是最容易出问题的地方之一。电源地平面地分割问题是PCB EMC设计中存在地老问题,不同的工程师有不同的看法,甚至到现在也没有达成统一。目前存在两种意见:
观点一: 隔离信号地系统
单板的GND是个独立的系统,不和PGND发生联系,与设备内部形成闭环系统,只通过DC/DC与外部相连。板上地PGND是结构在背板、单板上的延伸,用于屏蔽、防护器件的能量泄放、防静电。BGND是-48的回流线,出于安全考虑,BGND要和结构外壳连接,单点连接即可,通常在电源单元进设备的入口处,或者设备的供电柜上作BGND和PGND短接。
GND作为数字信号的回流地,主要是同低压电源发生能量传递关系,其绝对电位并不会影响工作状态,重要的是与电源之间产生稳定的电位差给器件工作。因而出于担心GND上面存在干扰电平或者绝对电位与机壳不一致而将其连接起来的做法理由并不充分。业内现阶段流行GND与机架连接的目的是遏制GND上的高频噪声。
GND和相应的电源作为一个隔离的系统,不会产生静电积累问题。静电积累是有前提条件,首先要有物质之间的相互摩擦;其次这种摩擦能够导致大量的电荷转移;第三,能够引起静电积累材料的往往都是绝缘的非金属,因为这些物质自身不能同空气发生缓慢的放电过程,金属和其它导电物质具备向空气缓慢放电地特质,因此它们不易产生静电积累。只要将GND完全隔离,避免使其和外界发生摩擦,就没有必要给GND接电阻到结构以泄放静电电荷。
观点二:统一信号地系统
产品的GND和结构主体彻底合并成同一个网络,PGND代表结构和结构在背(单)板上的衍生网络,PGND在电气网络上就是GND。这个方案的关键是如何“统一”! GND和结构之间连接关系只有“多点接地”才是满足EMC要求的。因此每块单板需要搭配金属大平板,螺钉连接以保证良好接地,并且接地点之间间距满足二十分之一波长规则。
当GND作为信号回流通道时它就是GND,当作为静电泄放、屏蔽等用途时又是PGND。这种“一地两用”地理论基础是高频电路与电磁场和电磁波理论。对任何信号而言,信号回流走最低阻抗通道,不是物理上的最小路径。到了高频下,趋肤效应显著,即使一块金属板,正面和反面对高频都是两个通道。最低阻抗地原则和趋肤效应保证了即使GND接到结构上,高速信号地回流也不会到处都是,它始终在信号线的下方,与信号线互为耦合,环路电感达到最小。这种做法是随着电子产品信号频率不断升高,电磁兼容要求日益严酷的背景下应运而生的。实现这个规划的难度在于这个方案考虑了高频但是对低频干扰存在风险,由于结构与GND在事实上连在一起,因此,结构必须良好接大地。否则不但不能泄放干扰,相反还会引导干扰损坏器件。实现该方案的第二个难度在于“接地”。单板的GND如果通过单点和结构相连,这不是EMC的“接地”,这样做的后果是:高频干扰依然没有遏制,却给了低频干扰一个通道长驱直入。EMC接地必须多点把GND连接到结构,其次接地点之间地间距满足设备最高的主要工作频率波长的二十分之一。第三,不能完全指望螺钉接地,单板必须是金属化孔亮铜直接与结构平面“面-面”接触,并且压紧,螺钉可以用尼龙的,因为螺钉不是接地用的,螺钉达不到高频接地要求。落实这几条措施才是达到“GND接地”地目的,否则只是形式上的接地,事实上的“不良接地”。
这个方案的优点是GND上的干扰通过结构低阻抗通道泄放到大地,减小空间辐射幅度,有利于EMC。不足是增加接地系统的复杂性,并且结构成本有增加。
BGND是-48的回流线,同样原因,BGND要和结构外壳连接,单点连接即可。这个方案的结果是DC/DC两端的地通过结构短接在一起。用直流的眼光看,BGND、PGND、GND是等电位。为了达到DC/DC输入输出两端交流隔离的目的,一般要求BGND仅仅单点连接结构,并且只在设备电源入口。
对于采用-48V的单板,其-48V电源和地平面(走线)应当注意,在单板上,电源部分必须单独划分出去,要充分考虑不要和单板上面信号部分产生干扰。因为数字干扰很容易通过电源线辐射出去。
经典案例-48V电源地受信号地耦合造成干扰
某基带框在RE测试时发现在频点32.76MHZ处辐射较高,准峰值为53.8dB超过CLASS A限值近4dB,结果如下图所示:
在定位过程中发现,主控板不插在槽位的时候辐射就消失,只要主控板一插上无论其它单板如何配置,该点得辐射均存在。过程中还发现在电源线上串上磁环,该点的辐射也消失。
为了确定辐射源的耦合途径,首先对背板和主控板的PCB进行了详细的审查,发现
1、cellbus时钟走线是采用两端匹配的方式,通过上拉电阻匹配到VTT层,原理图如下:
2、VTT和-48V、-48V_GND的电源平面有大面积的重合。
如果VTT滤波电容选择不合理,可能会把干扰传入VTT层,而VTT层与-48V电源层在主控板上有大面积的重合,-48V电源层很有可能被耦合到干扰。
最后经过定位确认正是VTT电源层受到CELLBUS的影响后,对-48V电源层耦合,然后通过电源线对外辐射造成超标。
其它辐射超标的原因
辐射发射测试通不过的时候,很多测试人员喜欢从PCB上分析超标的原因。除了PCB布局、布线外,PCB上的一些电路设计对于辐射发射也会起到决定性的作用。
1) 这种电路首推时钟线匹配电路。时钟信号的上升沿是决定对外辐射的一个重要因素,而匹配电路直接能够决定时钟的信号质量。譬如对于始端匹配的时钟电路,始端串连的电阻选择不当或者较小可能会造成时钟线上干扰较大。
2) 去耦电路。电源管脚上面的去耦电路也是影响RE的一个重要因素。
3) 其它不合理的电路。
经典案例 - PGND-GND跨接电容造成辐射超标
数通某产品在RE测试时,165MHz不满足Class A裕量要求,测试结果如下:
查看单板布局,发现地分割处布局如下图:
由于单板的总线频率为33MHz,165MHz恰为33MHz的5倍频,分析干扰可能是从GND耦合到PGND,通过网线驱动,从而导致辐射超标。从上图可以看到跨接电容不是两个管脚直接跨接在PGND和GND之间,而是从GND引线到PGND,然后再接跨接电容,因此怀疑是这段走线将干扰耦合到了PGND,使跨接电容没有起到作用。将该走线刮断,重新测试,测试结果如下:
165Mhz频点基本消失,为了确认电容跨接在地分割上,是否和割断有同样的效果,把电容跨接在地分割上重新测试,发现结果是仍然超标。
这个案例说明,GND和PGND之间的电容连接有时候会导致GND上面的干扰耦合到PGND上面去,在PGND上面造成干扰,然后通过电缆辐射出去,导致辐射超标。
电源端口与辐射发射之间的关系
工程师通过多年的行业工作积累,总结出一系列关于产品辐射超标原因的分析案例。此为系列(四)电源端口与辐射发射之间的关系。电源引起的辐射超标所指的是系统内部通过各种途径耦合到电源线上的干扰,通过电源线传导出设备,然后再通过电源线辐射出去现象。
干扰源向周围空间的辐射发射可根据天线与电波传播理论来计算,构成空间辐射的条件一是要有共模驱动源,二是要有共模天线。任何两个金属体之间只要存在RF电位差,就构成一副不对称振子天线。系统内的噪声是共模驱动源,拉出机柜的电源线可看成天线的一极,电源线上的共模辐射可以近似等效成单极子天线的辐射。模型如下所示:
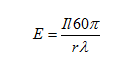
单极子天线在自由空间的辐射远场分布公式近似如下:
I为电流,l为线缆长度,测试点r为距离天线的距离
上式的适用条件是忽略了天线上的电流分布,适用于 ,把导线当短线处理的情况。这个公式可用来估算RE电源线和信号线的辐射强度。因为一般线缆辐射为宽带辐射,频段一般在200MHz,尤其对电源线而言,辐射主要集中在几十MHz左右。以50MHz为例,对应波长为6m,一般的电源线长度均在2m以内,基本上可以当作短线处理。
用电流探头卡在设备的电源线或者信号线束上,测出线束上的电流,取平均值带入上式,即可估算出远场区的场强分布。
由于电源问题导致的RE测试超标的问题很多,总结归纳一下,由于电源问题导致RE超标的具体形式有:
1. 滤波器的安装问题。滤波器在安装一定要确保滤波器壳体良好接地。因为我们所要虑掉的干扰主要是纵向干扰,也就是对地地干扰。如果滤波器不能良好接地,就不能对纵向模干扰进行滤波。其次,滤波器的安装位置。滤波器作为一种抑制传导干扰的器件,还应该和机壳(屏蔽体)配合使用。干扰信号的输入端一定要在屏蔽体内部,在可能的条件下,输出端应接到屏蔽体的外部。这样来自机壳内部的干扰既不会通过电源线传导出去,又不能通过空间辐射出去。

屏蔽体上电源线滤波器的安装方法
2. 这是我们最容易犯的一种错误,就是经过滤波后的电缆,同其他带有干扰的电缆捆扎或者并行走线。由于线缆之间存在很大的分布电容,干扰很容易从其它电缆耦合到“干净的”电源线上,通过电源线对外辐射。
3. 电源模块干扰过大,或者单板电源电路设计存在缺陷。无论是外购电源还是自己设计的电源,如果自身设计存在缺陷,干扰过大,无论系统滤波器是否满足要求,都有可能导致对外有强烈辐射。电源部分滤波电路设计的常见问题有电源环路问题,滤波电路器件选择有误,滤波电路的形式,滤波电路位置和布局(容易产生前后级耦合),滤波电路的接地问题等。
在测试过程中,测试人员对单板的电源端口所能采取的定位措施最多的是修改滤波电路的差模或者共模电容值以及更换共模电感的大小。一般说来,差模和共模滤波电容的容值越大越好,但是容值过大,又存在上电冲击和打火以及漏电流过大的问题;滤波电感的值也是越大越好,但又要受到通流量和体积的限制。
电缆导致RE超标原因分析
工程师通过多年的行业工作积累,总结出一系列关于产品辐射超标原因的分析案例。此为系列(五)电缆导致RE超标原因分析。辐射发射测试定位过程中有这样一条经验:在首次测试不能通过后,拔掉所有的电缆继续测试,如果在不带电缆的条件下,干扰有很大下降的话,测试人员就需要从电缆入手分析辐射超标的原因。
电缆辐射的原因
电缆的辐射起决定作用的是共模辐射。一个典型的电缆可以看作是单极驱动的天线,其辐射场可以通过简单模型计算出来:
1) 电缆长度l超过1/4工作波长时候【即:l(m)≥75/f(MHz)】,且
2) 电缆距离地面的高度超过约0.1工作波长,【即h(m)≥30/f(MHz)】
那么这时候,可以通过下面公式计算:
式中,Icm为共模电流(mA),D为到接受天线的距离(m)。
共模干扰的来源可以分为两部分。一是电缆上的差模信号转换过来的信号,二是系统内共模干扰源直接耦合到电缆上的共模信号。在测试中关于电缆问题出现最多的原因包括:
1. 电缆连接器与机壳搭接不良。
连接器作为一种透穿设备壳体的器件,如果和机壳搭接不良,就会把系统内部的干扰从机壳内部带出来,通过电缆辐射出去。由于趋服效应,PCB上的干扰源在机壳内表面上感应出象波涛一样强烈的噪声干扰电流/电压,只要机壳上面的缝隙不大于波长的1/20, 我们认为这些干扰只存在机壳的内表面上。如下图所示,如果连接器和机壳搭接不良,在连接器的表面和机壳的内表面之间必定存在着较大的分布电容(因为距离很小),机壳内表面上的干扰很容易耦合到连接器上,通过连接器传导出机壳,在电缆上造成对外辐射。
很多设计工程师认为,在连接器设计的时候,连接器的外壳已经通过接地管脚很好的接到PCB上的大地了,所以连接器不必再和机壳相连。其实,屏蔽连接器与机壳相连的主要目的并不仅仅是简单的金属搭接,而是为了使得机箱组成一个连续的屏蔽体。可以说屏蔽电缆的屏蔽层是屏蔽机壳的外延。

内部干扰通过连接器传出壳体示意图
当连接器与机壳的内表面搭接良好的时候,连接器与机壳组成了一个连续的屏蔽体,可以认为机壳上的干扰只存在屏蔽体的内表面上,传出机壳的连接器上不存在干扰,就不会造成线缆辐射。

连接器搭接良好内部干扰示意图
2. 线缆插头外壳与电缆屏蔽层搭接不良。
因为这种原因导致辐射发射超标,需要将电缆插头剥开,加以确认。电缆屏蔽层必须和接头外壳进行360度搭接,而常见的错误搭接情况是,或者电缆设计者没有搭接的意识,要么仅仅部分搭接。必须承认的是,尤其是对于DB接头,搭接确实存在一定的技术问题。目前我们靠的是用铜箔胶带缠绕加焊接的方式进行搭接,很容易出现搭接不良的现象。不良的搭接意味着在接头屏蔽壳和电缆屏蔽层组成的屏蔽体上开了一个洞,使得本来存在于导体内表面的干扰泄漏到外表面,造成对外辐射。
3. 对屏蔽层应该双端接地的电缆的不正确处理。
这种电缆包括多芯E1线,用户线等。测试时候要保证远端的接头处屏蔽层良好接地,并且将远端的接头放置于暗室转台的下方,防止内部芯线上的干扰对外辐射。因为无论屏蔽电缆多长,内部的芯线总要从屏蔽层里面伸出来,这时候屏蔽层就有了缺口,内部的干扰就会从这个缺口泄漏出来对外辐射。
理论上讲,低于100KHz~1MHz的信号,为了避免地环路干扰,屏蔽线采用单端接地;而更高频率的信号,当线缆铺设长度可以和信号波长相比拟时,为了避免驻波效应,对屏蔽线采取多点接地方式。对于一根宽带信号电缆,如果既传送低频信号又传送高频信号,那么为了兼顾不同频率的接地方式,就要采用混和接地。其实,对于低频信号其本身对外的辐射就比较低,甚至可以不用采用屏蔽电缆。采用屏蔽电缆的目的就是为了遏制高频的对外干扰,应该采用多点接地。要注意采用多点接地会带来地环路问题,尽管在实验室环境中这个问题并不一定能够显现出来。
4. 信号电缆的铺设。
存在较大干扰电流的电缆,如果不具备对外辐射的条件(譬如线缆长度较短等),其本身不会造成对外辐射干扰,但是如果这种电缆和其他电缆之间存在耦合,就可能把这些干扰耦合到具有对外辐射条件的电缆上去,造成干扰。所以, 对于一些速率较高干扰大的电缆,譬如E1电缆,XDSL电缆,E3电缆、155M电缆、时钟电缆等,在机柜内敷设时可以紧靠机柜壳体走线,通过电缆和机壳之间的分布电容,为高频干扰提供一个低阻抗接口通路。同时要单独走线,注意保持与其他电缆的距离。
对电缆进行有条例的铺设,不仅可以使人看上去美观,整洁,而且对减少电缆间的耦合也有好处,应该是每一个测试人员应该养成的习惯。
5. 金属体不作搭接穿过屏蔽机壳。
任何穿越金属屏蔽体的金属都有可能把内部的干扰带出。屏蔽电缆与机柜不作任何搭接直接引出机柜也是测试中产品测试人员经常忽视的一个问题,应当在出口处用连接机壳的金属网包扎住,或者用带有金属丝网衬垫的卡线槽卡住电缆的屏蔽体。
.6. 其他计存缺陷。
电缆设计如果存在缺陷,譬如屏蔽层编制密度低,平衡度差;或者电路上信号驱动较大,信号质量存在问题,滤波器件不满足要求等也会导致电缆辐射超标。
典型案例分析
1. 机柜接地线带来的辐射。
B产品进行辐射发射测试时,在不带业务线只带DC电源线和地线条件下发现30M~300MHz低频段内干扰很大,超出B级限值约20dBuV/m。
经查,B产品在的BGND和PGND在机内汇接,通过较长的导线AG与机柜屏蔽体相连接,参见下图所示。
因为AG线较长,上面存在比较大的高频阻抗,可有效感应到机内各种干扰信号。机柜壳体与接地点A存在高频电压VAG,接地线AG形成发射天线,造成整机辐射发射严重超标。
将接地线改为在机外,PGND与机柜直接短接,使AG近似为0,即VAG=0,从而消除接地线与机柜壳体的天线效应。改进后,重新测试,从下图可看出,低端辐射大幅度下降,整机辐射发射在Class B限制线下且有6dB余量。
这个案例告诉我们:屏蔽体内部的地线一定要短,保证内部干扰不耦合到接地线上。对于屏蔽机柜,接地点要选择在机柜的外表面,对于非屏蔽机柜,接地点尽量选择在机柜外表面,如果一定要选择内表面,内部走线一定要短。
2. 电缆连接器搭接不良导致辐射超标。
某产品辐射发射测试超标,经过定位,当设备引出E1线后,辐射发射测试结果就超标。问题确认为E1端口问题。
将E1电缆与接口连接器拆开后发现:E1电缆屏蔽编织层只通过几条金属丝焊接到DB68连接器金属外壳上。在高频情况下,几条金属丝上面必定存在着较大的交流阻抗,也就是说电缆的屏蔽层和设备的屏蔽机壳之间不能形成电气连续的屏蔽体。机箱内表面的干扰可以从线缆屏蔽层和机箱之间形成的缝隙中泄漏出来,耦合到电缆屏蔽层上,形成对外辐射。
将E1电缆屏蔽层与DB68连接器金属壳用铜箔包好,并在铜箔与屏蔽层、铜箔与铜箔交接处进行焊接,使铜泊与连接器良好搭接。处理后,测试结果完全能达到限值要求,并且还满足余量。

处理后的E1电缆连接器和屏蔽层形成一个整体
EMC电磁兼容设计培训套装,视频教程,让您系统学习EMC知识...
射频工程师养成培训教程套装,助您快速成为一名优秀射频工程师...
上一篇:电磁兼容检测实验室测试系统相符性比对研究
下一篇:电信端传导共模骚扰测试问答

