- 易迪拓培训,专注于微波、射频、天线设计工程师的培养
LinkSwitch导致电磁兼容性问题,工程师何以解忧?
PI 公司于2002年9月推出的LinkSwitch(简称LNK)系列单片电源在正常工作时的开关频率一般在42kHz,不仅对前级电路带来很大的电磁兼容 问题,而且也对邻近的某些电子设备产生电磁干扰。故必须对整个电路进行电磁兼容(EMC)设计,使各个元件在复杂的电磁环境下都能正常运行。
1 LNK的电磁兼容性问题
开关电源产生电磁干扰最根本的原因,就是其在工作过程中产生的高di/dt与高dv/dt,它们产生的浪涌电流和尖峰电压形成了干扰源。开关管的驱 动波形、MOSFET漏源波形等矩形波在脉冲边缘时的高频变化对开关电源的基本信号造成了干扰。图1为由LNK构成开关电源的电路模型。下面具体分析图1 中噪声产生的原因和途径。

图1 LNK开关电源电路模型
1.1 电源线引入的噪声
电源线噪声是电网中各种用电设备产生的电磁骚扰沿着电源线传播所造成的,对外表现为传导干扰和辐射干扰。传导干扰分为共模(Common Mode—CM)干扰和差模(Differential Mode—DM)干扰。共模干扰定义为任何载流导体与参考地之间的不希望有的电位差,差模干扰定义为任何两个载流导体之间的不希望有的电位差。由于开关电 路寄生参数的存在以及开关器件的高频开通和关断,使得开关电源在其输入端产生较大的共模干扰和差模干扰。图2即为图1的共模差模干扰的传播途径。在高频情 况下,由于dv/dt很高,激发变压器线圈间以及LNK的寄生电容,从而形成了共模干扰。如图2的黑体虚线所示。在高频情况下,在输入输出的滤波电容上产 生很高的di/dt,从而形成了差模干扰。如图2的淡体虚线所示。

图2 共模、差模干扰传播途径
1.2 变压器产生的干扰
高频变压器是开关电源实现能量储存、隔离输出、电压变换的重要元件,在不考虑漏感以及开关动作时间时,高频工作下的MOSFET产生的波形应该是标 准的方波。但在实际变压器制作时,绕组漏感是不可避免的。由于漏感存在,开关闭合时,原边漏感将储存一定的能量,当开关关断时,储存的能量得到释放,使得 开关器件的两端出现电压关断尖峰,与原来的直流高压和感应电压叠加,可使MOSFET的漏极电压超过700V(LNK系列的MOSFET的漏极击穿电压为 700V),有可能影响开关的正常工作甚至损坏LNK。
1.3 输出整流二极管的尖峰干扰
理想的二极管在承受反向电压时截止,不会有反向电流通过。但实际二极管在承受反向电压时,PN结内储存的电荷在反向电场作用下被复合,形成反向恢复 电流,它恢复到零点的时间与结电容等因素有关。反向恢复电流在变压器漏感、引线电感以及二极管的结电容的影响下将产生强烈的高频衰减振荡,高频衰减振荡电 压与关断电压叠加,将形成一个相当大的关断电压尖峰。这个反向恢复噪声也是开关电源的一个主要干扰源。
1.4 分布电容及寄生参数引起的干扰
开关电源的分布电容主要为开关电源与散热器或外壳之间的分布电容、LNK的漏极与电源线之间的分布电容、变压器初次级之间的分布电容。以上的分布电容都可以传输共模干扰。
在高频下,普通的电阻电容电感都将呈高频寄生特性,这将对其正常工作产生影响。例如,高频工作时,导线寄生电感的感抗显著增加,这将使其变成一根发射线,即成了开关电源中的一个辐射干扰源。
2 EMC设计
图3为未考虑EMC设计时的EMI仿真曲线,根据广泛采用的GB9254中规定的标准曲线,可看出干扰强度超过规定标准了,必须对电路进行相应的抗干扰设计。

图3 未考虑EMC设计的EMI仿真曲线
EMC设计应该从三个方面去考虑:
1) 减小干扰源产生的干扰信号
2) 切断干扰信号的传播途径
3) 增强敏感电路的抗干扰能力
2.1 输入侧滤波器设计
电源线干扰可以使用EMI滤波器滤除,EMI滤波器应是一个只允许直流至工频(50Hz,400Hz)通过的理想低通滤波器,即从直流至截止频率的 通带以最小衰减通过,一般以额定电流下的压降表示;对电磁干扰的阻带,给以尽可能高的衰减;通带和阻带之间的过滤带应尽量的陡。

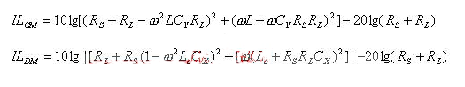
图4为常用EMI滤波器,图5和图6为其共模等效电路和差模等效电路。可推导出共模插入损耗和差模插入损耗(式中 为共模扼流圈由于两个绕组不对称引起的电感差值)为


2.2 变压器尖峰电压抑制
LNK 内部集成的MOSFET在高速开关时,使高频变压器的原边漏感储存的能量释放,产生的尖峰电压与原来的方波叠加有可能影响开关的正常工作或直接损坏 LNK。一般为了抑制这种高压尖峰,采用的是缓冲或钳位的方法。如图1中的起到的就是这种作用。当开关管截止时,电容被充电,电容两端的电压“缓慢”上 升,抑制了开关管上的电压变化和尖峰电压的产生。而当开关管导通时,由于电阻的存在,限制了开关管导通时的电流峰值。由于开关管工作频率较高以及LNK内 部的MOSFET的漏极击穿电压为700V故钳位二级管故应采用耐压为600V以上的快速恢复二级管,钳位电容 则应采用 的金属薄膜电容。
2.3 输出整流二极管尖峰抑制
对输出整流二极管产生的反向恢复噪声,可以通过在二极管两端并联RC缓冲器来抑制,也可以通过在二极管串联一个饱和电感来抑制。并联的RC缓冲器起 到一阶滤波器的作用,根据需要滤除高频噪声。串联的饱和电感在整流二极管导通时工作在饱和状态下,相当于导线;在整流二极管关断反向恢复时,工作在电感特 性状态下,可以阻碍电流的大幅度变化。
2.4 其他措施
1. 对整流电路采用无源功率因数校正法来降低谐波成分并提高功率因数;
2. 对变压器进行屏蔽来减少其漏感带来的辐射;
3. 对电路板进行合理设计,LinkSwitch应尽量远离交流输入端,尽量减小高频变压器初次回路所包围的面积。
3 结语
抑制开关电源的干扰是开发应用型开关电源的一个重要的课题。本文就不同的干扰源提出了针对性的解决方法,并就原电路的EMI仿真曲线重新设计了电路 的参数,改进后的电路基本符合GB9254标准。文末提出的几种工艺改进的方法都能对开关电源的电磁干扰问题起到进一步的作用,这些都对开关电源的电磁兼 容设计具有一定的参考意义.
EMC电磁兼容设计培训套装,视频教程,让您系统学习EMC知识...

