- 易迪拓培训,专注于微波、射频、天线设计工程师的培养
电子产品结构设计中的电磁兼容性设计
1 引言
随着科学技术的迅速发展,现代各种电子、电气、信息设备及家用电器的数量和种类越来越多,性能越来越先进,其使用场合和数量密度也越来越高。这就使得电气电子系统内、设备内的相互干扰愈加严重。在这种情况下,要保证设备在各种复杂的电磁环境中正常地工作,则在结构设计阶段就必须认真考虑电磁兼容性设计。
2 电磁干扰方式
电子设备结构设计中常见的电磁干扰方式主要有:
(1) 传导干扰
传导干扰一般是指通过电源,电缆,布线系统,接地系统引起的串扰。
(2) 辐射干扰
在高频情况下,电磁能量比较容易产生辐射。通常,在MHz以上,辐射就较明显,当导线长度超过四分之一波长时,辐射功率将很大。
(3) 感应及耦合引起的干扰
3 电磁兼容(EMC)设计的主要内容及方法
电磁兼容设计的主要方法有屏蔽、滤波、接地等。
3.1 屏蔽
电磁屏蔽是利用金属板、网、盖、罩、盒等屏蔽体阻止或减小电磁能量传播所采取的一种结构措施。常用的方法有静电屏蔽,磁屏蔽和电磁屏蔽。电子设备结构设计人员在着手电磁兼容性设计时,必须根据产品所提出的抗干扰要求进行有针对性的电磁屏蔽设计。
(1)静电屏蔽
静电屏蔽主要是为了抑制寄生电容的耦合,使电路由于分布电容泄漏出来的电磁能量经屏蔽接地而不致于串入其它电路,从而使干扰得到抑制。
静电屏蔽的基本方法是采用低电阻率材料作屏蔽体,在感应源与受感器之间加一块与机壳接触良好的金属隔板网、罩或盒。可用铜、铝材做屏蔽外壳,要求不高的也可用钢材。机壳必须是导电良好、稳定可靠的导电体。静电屏蔽必须保
证良好的接地,否则屏蔽效果将大大下降。
(2)磁屏蔽
磁屏蔽主要是针对一些低阻抗源。例如变压器、线圈及一些示波器、显示器就可考虑用磁屏蔽。良好的低频屏蔽必须具有合适的电导率和高磁导率。磁屏蔽的基本方法是用高磁导率材料,如铁镍合金、镍铅合金、纯铁、铜作屏蔽材料,做成屏蔽罩。磁屏蔽罩在结构上按加工工艺不同一般可分为两类:一类为用平板坯料深冲成形的,另一类为焊接成形的。
(3)电磁屏蔽
电磁屏蔽就是对高频电磁辐射的屏蔽。
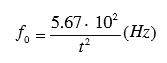
电磁屏蔽的主要方法是用金属材料做成屏蔽壳体。金属材料可以是铁磁性材料,也可以是非铁磁性材料,通过对电磁场的反射和吸收损耗起到屏蔽作用,具体选用哪种材料,则应根据工作频率(f)来确定。其临界频率为

式中,t——材料厚度(mm);
当f>f0时,铁磁性材料比非铁磁性材料屏蔽效果好; 当f<f0时,非铁磁材料比铁磁性材料屏蔽效果好。
一般来讲,频率大于1MHz时,其屏蔽效能主要取决于吸收损耗。
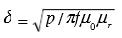
就反射损耗而言,非铁磁材料比铁磁材料优越,反射损耗与材料厚度无关。 电磁屏蔽理论指出:电磁干扰在通过屏蔽体时,一部分被反射,未被反射的部分进入屏蔽层而被吸收转化为热能,剩余的部分则穿透屏蔽层,继续向外传播。屏蔽体所具有的这种反射和吸收电磁波能量的能力被定义为屏蔽体的屏蔽效能。假定屏蔽体是均质无缝的,则屏蔽体的屏蔽效能与干扰场的场型有关,其屏蔽效果可按下面的公式计算。
远场屏蔽效果: ![]()
近磁场屏蔽效果:
![]()
近电场屏蔽效果:
![]()
其中:SE(dB)——屏蔽效果;
r(m)——屏蔽体到干扰源的距离;

f(Hz)——干扰频率;σr——相对导电率; μr——相对导磁率;t——材料厚度。
均匀无缝屏蔽体的屏蔽效能是很高的。但是由于加工、装配及结构上的加工需要等原因,实际上屏蔽体都是不连续的,存有各种孔缝,屏蔽效能远远低于理想的计算值。在高频段,由于波长变短,结构上的不连续性会造成射频泄漏,构件缝隙及孔、洞在电气上就变得举足轻重了。一般所有1MHz以上的电磁干扰都是通过屏蔽体的孔缝处泄漏造成的。所以,在设计屏蔽结构件时必须注意电磁的连续性,避免孔缝的泄漏。电磁学上的小孔是指其最大尺寸远小于信号波长的孔。一个孔径的尺寸接近或超过波长时,则必须用铜丝屏蔽覆盖,或者用一组不加屏蔽的小孔代替单个大孔,或者用波导衰减器屏蔽大孔。考虑到干扰场强的透入深度是随着频率的升高而减小的,因此所需材料的厚度也可随之减小。
当干扰频率f>1MHz时,用0.5毫米的任何一种金属材料制成的屏蔽罩就能将场强减弱100倍以上。这时选择材料及确定料厚时,应着重考虑材料的机械强度、刚度、工艺性及防腐、防潮等因素。
当f>10MHz时,用0.1毫米厚的铜板制成屏蔽罩就能将场强减弱100倍以上,因此这时屏蔽罩可用敷铜箔材料制作。
当f>100MHz时,可用绝缘材料经热压成型后,在表面镀以铜层、银层等制作屏蔽体。
非磁性金属材料不宜作低频的磁屏蔽体,因为在低频情况下,屏蔽效果主要靠屏蔽体的吸收损耗实现的。为了达到一定的屏蔽效果,往往需要很厚的材料。从透入深度
可知,当f为100MHz时,若用铝板做屏蔽体,要使干扰场强衰减为表面数值的1/100时,则需用不小于40.1毫米厚的铝板,这是不现实的。而选用高初磁导率软磁合金材料,只用1.7毫米就可以满足要求,且铁磁材料的磁导率愈高,屏蔽效果愈好。
铁磁材料不宜作高频电磁屏蔽材料。虽然铁磁材料在高频情况下,屏蔽效果比非磁性金属材料好,但由于铁磁材料的电阻率大,并有磁滞现象,会使屏蔽电路能量消耗显著。所以,在高频情况下,一般采用非铁磁性导电良好的金属材料做屏蔽体,如铜、铝或铜镀银等。
f在103~108Hz范围内才可采用钢板作屏蔽材料,对屏蔽屋而言(r>1m),当f>3MHz时,钢的屏蔽效能高于铜;对屏蔽盒而言(r<1m),当f在几十千赫至几兆赫时,薄钢板(0.1毫米)的效能低于薄铜板,随着厚度的增加,铜的屏蔽效能高于钢材的频段向低频区移动;镀层材料随用途而异,屏蔽效能以银、铜、锌为好,锡、铝较差。
3.2 滤波
电路中的干扰信号常常通过电源线、信号线、控制线等进入电路造成干扰,所以对公用电源线及通过干扰环境的导线一般均要设置滤波电路。滤波方式可以分为有源滤波和无源滤波,滤波特性可根据需要设计成带通、高通、低通滤波器。
3.3 接地
接地问题在电磁兼容性设计中也是一个极其重要的问题,正确的接地方法可以减少或避免电路间的互相干扰。根据不同的电路可用不同的接地方法。
3.3.1组合单元电路接地
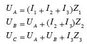
(1)串联一点接地由图1可以看出各点电位

设Z1=Z2=Z3,则UA<UB<UC。

图1
这种情况下,一般把接地点放在低电平处,这种接地方法最简单,抑制干扰能力差,仅适用于低频电路。
(2)并联一点接地

图2
这种接地法各电路地电流自成回路,彼此独立。避免了各单元电路的相互串扰,但接地电阻较大。如图2所示,当工作频率较高时,地线产生辐射干扰。所以,并联一点接地也仅适用于低频1MHz以下电路。
(3)多点接地

图3
由图3可以看出,多点接地其接地电阻较小,在高于10MHz时可用多点接地,但此时总地线应适当宽些,长度也不宜过长,最好不超过0.15波长,同时,地线与机壳应绝缘。
3.3.2整机的接地
整机接地方式也是保障产品电磁兼容性的主要措施之一。由于其功能不同,故电路差别甚大,接地状况也不大相同。一般常用的方法是:将模拟电路、数字电路、机壳分开,各自独立接地,避免相互间的干扰,最后三地合一接入大地,这种方式较好地抑制了电磁噪声,减少了数字信号和模拟信号之间的干扰。
4 结束语
为了实现令人满意的屏蔽,设备壳体应有足够的屏蔽效果,以便将不希望有的信号强度衰减到足以获得系统/分系统/设备的最大的电磁兼容的电平。所谓电磁兼容就是设备在预期的电磁环境中能正常工作的能力。也就是说,设备和系统在规定的电磁环境中不受电磁干扰而降低工作性能;同时它所产生的干扰也不大于规定的极限电平,以免影响其它设备正常工作,从而达到所有设备之间互不干扰、共同运行的目的。由此可见,电磁兼容是一个整机性能指标,它与结构设计的好坏有着密切的关系。当然,结构设计得好,未必就能解决整机的电磁兼容指标;但是结构设计得不好,则极有可能导致整机电磁兼容设计的失败,这也是引起人们对电磁兼容结构设计重视的原因。
在设计一个新产品时,一开始就必须考虑到电磁兼容问题。如果忽视了这一问题,到新产品度制时,干扰问题会暴露出来。因此及早地解决电磁干扰问题不仅是行之有效的,而且会大大降低产品成本。
作者简介: 胡寅秋 江苏省电子信息产品质量监督检验研究院
EMC电磁兼容设计培训套装,视频教程,让您系统学习EMC知识...
射频工程师养成培训教程套装,助您快速成为一名优秀射频工程师...
上一篇:高度重视电子产品电磁兼容性设计及管理工作
下一篇:开关电源中如何选用滤波电容的解析

