- 易迪拓培训,专注于微波、射频、天线设计工程师的培养
电阻器分压器漂移:什么时候 5ppm + 5ppm = 5 ppm
录入:edatop.com 点击:
如果您有一个分压器,其中每个电阻器支持 5 ppm/°C 的漂移,那么最差情况的漂移是多少
这是我最近研究低漂移电流传感参考设计 (TIPD156) 时向我同事提出的一个既定观点的问题(当然,是在我已经得出答案之后提出的)。“显而易见”的答案是 10ppm/°C。真正的答案其实只有 5ppm/°C,但必须是在分压器分压比是
的时候。让我们来深入了解一下这个并非显而易见的明显问题的答案。
图 1 是一款分立式解决方案,其提供一个参考电压 (VREF) 和基于 R1与 R2比值的偏置电压 (VBIAS)。

图 1:双参考分立式拓扑
这时很“显然”电阻器分压器的整体漂移是 (5 ppm/°C) + (5 ppm/°C) = 10 ppm/°C。为进行确认,我进行了仿真。图 2 是TINA-TI仿真的结果,其中 R2向正方向漂移,R1向负方向漂移,温度变化是 100°C。

图 2:R1 和 R2 漂移后的 Vbias
计算得出的增益误差是 0.05%(500 ppm 或 5.0 ppm/°C)。这是一个电阻器的漂移,而非它们的和!
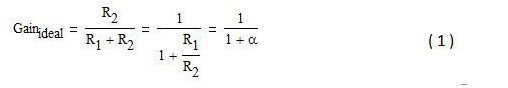
现在,我们看一下常见分压器电路的增益比率,并将其按公式 (1) 重新整理。

其中

a 是 R1与 R2之比,最终与该电路的增益有关。例如,如果 α=1,增益是 。那么,α→0 时,增益 →1。同样,α→∞ 时,增益 →0。
不同温度的电路实际增益将取决于电阻器的漂移,在公式 (3) 中用 δ 表示。为了与仿真一致,R2按正方向漂移,R1按负方向漂移。

公式 (4) 可计算增益误差。为了简单起见,没有将其转化成百分比(如果您想转化,只需乘以 100,但在转换为 ppm 时要注意)。

使用公式 (1) 至 (3),公式 (4) 可简化为:

请注意,增益误差由漂移 (δ) 和电路增益(与 α 有关)决定。此外,如果 α=1(电路增益 = ),增益误差可简化为 δ,这正好是仿真显示的结果!
图 3 是该设计增益误差与电路增益的对比图(5ppm/°C 的电阻器漂移,或 100°C 温度下的 500ppm 总漂移)。注意,当电路增益是 时,增益误差是 500ppm。还请注意,随着电路增益增加,增益误差会减小,反之亦然。

总之,分压器的漂移与预期不同。它不是简单的相加,而是取决于电路的增益。所以,您下次设计电路时,如果再得出一个“显而易见”的结论,您可能希望采用TINA-TI来核实一下!
图 1 是一款分立式解决方案,其提供一个参考电压 (VREF) 和基于 R1与 R2比值的偏置电压 (VBIAS)。

图 1:双参考分立式拓扑
这时很“显然”电阻器分压器的整体漂移是 (5 ppm/°C) + (5 ppm/°C) = 10 ppm/°C。为进行确认,我进行了仿真。图 2 是TINA-TI仿真的结果,其中 R2向正方向漂移,R1向负方向漂移,温度变化是 100°C。

图 2:R1 和 R2 漂移后的 Vbias
计算得出的增益误差是 0.05%(500 ppm 或 5.0 ppm/°C)。这是一个电阻器的漂移,而非它们的和!
现在,我们看一下常见分压器电路的增益比率,并将其按公式 (1) 重新整理。

其中

a 是 R1与 R2之比,最终与该电路的增益有关。例如,如果 α=1,增益是 。那么,α→0 时,增益 →1。同样,α→∞ 时,增益 →0。
不同温度的电路实际增益将取决于电阻器的漂移,在公式 (3) 中用 δ 表示。为了与仿真一致,R2按正方向漂移,R1按负方向漂移。

公式 (4) 可计算增益误差。为了简单起见,没有将其转化成百分比(如果您想转化,只需乘以 100,但在转换为 ppm 时要注意)。

使用公式 (1) 至 (3),公式 (4) 可简化为:

请注意,增益误差由漂移 (δ) 和电路增益(与 α 有关)决定。此外,如果 α=1(电路增益 = ),增益误差可简化为 δ,这正好是仿真显示的结果!
图 3 是该设计增益误差与电路增益的对比图(5ppm/°C 的电阻器漂移,或 100°C 温度下的 500ppm 总漂移)。注意,当电路增益是 时,增益误差是 500ppm。还请注意,随着电路增益增加,增益误差会减小,反之亦然。

总之,分压器的漂移与预期不同。它不是简单的相加,而是取决于电路的增益。所以,您下次设计电路时,如果再得出一个“显而易见”的结论,您可能希望采用TINA-TI来核实一下!
射频工程师养成培训教程套装,助您快速成为一名优秀射频工程师...
天线设计工程师培训课程套装,资深专家授课,让天线设计不再难...
上一篇:教你用555制作全自动充电器
下一篇:高频电子变压器及其发展方向
射频和天线工程师培训课程详情>>

