- 易迪拓培训,专注于微波、射频、天线设计工程师的培养
什么是损耗系数 tanσ/μ<sub>i</sub> ?
录入:edatop.com 点击:
问:什么是损耗系数 tanσ/μi ?
答:
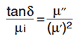
是损耗系数与初始磁导率的比,用下式表示:

在这里
- μ" : 复磁导率的虚数部分
- μ' : 复磁导率的实数部分
备考:磁路的空隙较小时,下式成立。

*铁氧体相关术语在刊载于本网站的“铁氧体概要”的“术语解说与定义”中进行了总结。
*本数据中记载的记号数据基于IEC Publication 60401-3。
*本公司术语及设置参考了JIS C 2560-1,-2。
EMC电磁兼容设计培训套装,视频教程,让您系统学习EMC知识...
射频工程师养成培训教程套装,助您快速成为一名优秀射频工程师...
上一篇:请说明一下电源电路用电感器(功率电感器的)磁芯材料的种类及其特性的不同之处
下一篇:温度特性指南 (6):TDK的MLCC(积层贴片陶瓷片式电容器)没有Y5V及Z5U,是否不提供相关产品目录?

