- 易迪拓培训,专注于微波、射频、天线设计工程师的培养
什么是相对磁导率减落系数 D<sub>F</sub> ?
录入:edatop.com 点击:
问:什么是相对磁导率减落系数 DF ?
答:
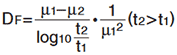
是表示初始磁导率随时间发生指数函数性变化时的磁导率减落的系数,按下式算出,通常以10–6为单位表示。

在这里
- μ1 : 完全消磁后,t1后的初始磁导率
- μ2 : 完全消磁后,t2后的初始磁导率

*铁氧体相关术语在刊载于本网站的“铁氧体概要”的“术语解说与定义”中进行了总结。
*本数据中记载的记号数据基于IEC Publication 60401-3。
*本公司术语及设置参考了JIS C 2560-1,-2。
EMC电磁兼容设计培训套装,视频教程,让您系统学习EMC知识...
射频工程师养成培训教程套装,助您快速成为一名优秀射频工程师...
上一篇:导电性粘合剂的TDK指南 (4):TDK有导电性粘合剂用的积层贴片陶瓷片式电容器(MLCC)吗?
下一篇:电容器的测量 (8):如何能测量电容器的绝缘电阻?

