- 易迪拓培训,专注于微波、射频、天线设计工程师的培养
通过误差向量分析优化接收机性能
误差向量分析是一种用幅度误差和相位误差定量表示发射机或接收机性能的方法。通过采用具有误差向量分析功能的向量信号分析仪,工程师可以在线研究信号空间的幅度值和相位误差,同时可以调整接收机链路参数。
为了调整接收机参数以获得最佳性能,有必要将给定接收机与理想接收机作性能比较,比较的方法有多种。误码率(BER)性能测试仪通常用来测量不同输入信噪比(SNR)条件下的误码率,但这种测量方法需要发送、接收和比较很长的位序列,从而耗费很长的时间。一种较快速的方法能够监测较短位序列的误差向量,这可以用具有误差向量分析功能的现代向量信号分析仪(VSA)完成。这种方法允许工程师在线研究信号空间的幅度值和相位误差,同时可以调整接收机链路参数,例如中间级匹配电路、级联增益和衰减的分布以及滤波器选择。
误差向量分析
误差向量分析是一种用幅度误差和相位误差定量表示发射机或接收机性能的方法。一般情况下,任何数字调制都可以用一个信号波形z(t)=A(t)cos(wct+Q(t))描述,其中A(t)表示瞬时幅度变量,Q(t)表示瞬时相位变量。一般情况下,将基带数据分解成I向量和Q向量,再用正交调制器或直接合成将其调制成期望的载波角频率wc。得到的复合调制波形包含正交的I和Q数据,这一结果可以在载波频率上进行分析,也可以将其解调到基带直接分析I、Q基带向量。全球有几家设备制造商提供具有上述功能的VSA。
VSA测量每个发送符号的幅度和相位,具有误差向量分析功能的VSA计算被测向量与最靠近理想星座点之间的误差向量。首先,必须向VSA提供适当的波形参数,例如符号率、脉冲整形滤波器参数和调制方式。如果误差向量幅度(EVM)过大,致使VSA不能正确估计预期的符号向量,得到的结果误差很大并且不可靠。特别是在非常密集的调制方式中,例如高阶QAM调制。如果要对过多的被破坏信号进行调试时,误差向量几乎不能提供信息。在大多数情况下,向量分析用于优化性能而不是用于校验功能,因此对于数值很高但精度很低的EVM通常是可以接受的。误差向量分析作为一种优化现有功能设计的工具是非常有用的,而不是调试工具。
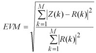
在时间采样系统中,EVM可由下式定义:

(1)
其中Z(k)是复合接收信号向量,由I和Q分量组成;R(k)是理想的复合参考向量。误差向量幅度是误差向量功率有效值和参考向量功率有效值的比值,用于度量接收机的性能,与SNR和BER密切相关。对于任何编码增益,EVM都与SNR的平方根成正比,如公式2所示(其中L为编码增益)。

(2)
当使用伪随机序列对原始基带数据进行扩展时(例如在CDMA扩频系统中使用的伪随机序列),编码增益会起作用。这类系统中的编码增益是码片率与基带数据速率的比值。例如,UMTS收发机以3.84Mchips/s的码片率发送一个12.2kbps的数据流,得到的编码增益为3.84×106/12.2×103=314.75,或者表示为25dB。
为了将EVM和BER联系起来,有必要确定SNR与给定调制方式下符号错误概率的关系式。对于QAM调制,符号错误的概率可由下式表示:

(3)
其中 M为调制阶数(例如对于64QAM, M=64);rb是每位的平均SNR;k是每符号的位数(例如对于64QAM,每个复合符号为6位)。
利用公式2和3可以求出不同SNR对应的误符号率(SER)和EVM,SER和SNR的关系曲线如图1a所示,这里提供了不同阶数QAM调制方式对应的典型曲线。对于相同调制方式的SER和EVM的关系曲线如图1b所示,这使得设计工程师能够使用误差向量分析方法预测给定接收机的BER性能。例如,如果对于未编码的256QAM调制方式,测得EVM为3%,那么预测SER应该为600ppm。换句话说,平均每10,000个符号序列中预期会有6个错误符号,相应在1百万位序列中有75位误码,即BER为7.5×10-5。

图1:a)未编码的16QAM、64QAM和256QAM调制方式的符号错误理论概率值与SNR的关系曲线。b)相应符号错误概率与EVM测量值的关系曲线。
设计工程师利用图1a和1b中的数据以及适当的VSA可以实时优化性能。在观察EVM性能的同时,滤波器选择、中间级匹配电路和转换增益等参数都可以进行调整,使设计工程师能够快速优化他们的信号链路。下面的例子通过用误码向量分析方法定量地分析一个接收机子系统性能,证明这种方法的优势。
实际的测量与应用
图2给出了正交解调器和高精度有效值功率检测器,它们构成一种闭环自动电平控制(ALC)中频(IF)到基带接收机子系统。AD8348提供50MHz~1GHz的高精度正交解调,本地振荡器(LO)频率为期望载波的两倍,内置LO分频器允许采用采用LO,这样可以缓解全双工收发机存在的LO频率牵引(LO-pulling)问题。在本例中,IF输入频率为190MHz,采用了一个-10dBm@380MHz的LO驱动电路。集成的前端可变增益放大器(VGA)由一个电阻式可变衰减器和高截取点(intercept-point)后置放大器组成,用于提供可变转换增益,同时保持恒定的无杂散动态范围。AD8362是高精度射频(RF)功率测量器件,能够测量从任意低频到2.7 GHz范围内的信号功率有效值。AD8362对不同波峰因数波形不敏感,因此是测量数字调制信号功率真实有效值的理想解决方案。

图2:AD8348正交解调器与AD8362 TruPwr检测器相结合,提供高精度中频到基带接收机子系统的自动电平控制。
图2所示电路用于测量I通道基带信号的功率有效值。假设I向量和Q向量都是伪随机的,这一假设对于大多数数字调制方式都是合理的,那么可以任意选择I通道或Q通道检测。内部误差放大器通过测量基带功率有效值,生成一个控制信号用于驱动正交解调器的增益控制端口。通过闭环形式自适应地调节解调器的转换增益,以保持恒定的基带有效功率电平,与波形无关。通过对VSET引脚采用适当的设定点控制电压来设置输出电平。误差向量分析用于找出最佳ALC输出设定值,并确定适合256QAM 1Msps数字调制的滤波器。
解调器为低通滤波器应用提供一个单端接口。在I和Q通道都使用4阶贝塞尔(Bessel)滤波器,以使宽带噪声最小化,并帮助滤除无用的邻频信号。选用贝塞尔滤波器是因为它有很低的群延时特性,这对于保证低的码间串扰是必需的。最初曾测试过巴特沃斯滤波器和切比雪夫滤波器,但是由于它们的通带群延时较大,导致EVM性能变坏。采用经典的方法很难测量出不同滤波器选择造成的接收机性能的细微差异。VSA可以快速测量性能,从而可以在短时间内优化滤波器网络。
使用Rohde&Schwarz公司的FSQ8向量信号分析仪测量基带EVM。在观察EVM的同时,可以调节设定点控制电压以确定最佳设置。如图3所示,选择合适的设定点电压在大于40dB的输入范围内可使EVM优于2%。解调器的可变转换增益允许接收机设计在比固定增益解调器宽的动态范围内具有最佳的BER特性。 
图3:符号率为1Msps、256QAM条件下误差向量幅度(EVM)与输入功率关系曲线。
通过测量期望输入信号范围内的EVM值,可以很容易地估算出SER性能。将测量到的EVM数据与图1曲线结合使用,可以预测接收机的动态性能。对于256QAM调制,EVM必须优于2%左右以保证SER小于10-6。对IF到基带接收机子系统的测量结果表明,在SER恶化到不能接受的程度之前,接收机允许输入功率变化范围超过40dB。对于信号链优化和动态性能预测,EVM分析是一个有效的工具。
参考文献:
"Digital Communications, 2nd Edition", John G. Proakis, McGraw-Hill Inc. 1989 "Universal Mobile Telecommunications System (UMTS); UTRA (BS) FDD; Radio transmission and reception (3GPP TS 25.104 version 4.7.0 Release 4)", ETSI TS 125 104 V4.7.0, 2003 "Principles of Communication Systems, 2nd Edition", Herbert Taub and Donald L. Schilling, McGraw-Hill Inc. 1986
作者:Eric Newman
高级应用工程师
美国模拟器件公司
上一篇:Create a flexible EDGE data receiver(Part 1)
下一篇:MAX2395输出匹配SAW滤波器输入,获得最佳的级联增益平坦度

